Comparative studying of the photochromic properties of 2-acylaminoderivatives 1-aryloxyanthraquinones in solutions and polymeric layers
- Authors: Klimenko L.S.1, Korneev D.S.2, Litvinov V.A.1
- 
							Affiliations: 
							- Yugra State University
- Institute of oil chemistry SB RAS
 
- Issue: Vol 11, No 3 (2015)
- Pages: 22-29
- Section: Articles
- Published: 15.11.2015
- URL: https://vestnikugrasu.org/byusu/article/view/7337
- DOI: https://doi.org/10.17816/byusu201511322-29
- ID: 7337
Cite item
Full Text
Abstract
New photochromic 2-acylaminoderivatives of 1-p-t-butylphenoxy-9,10-anthraquinone with the various substituents in acyl groups are synthesized. The quantitative dependence of photochemical characteristics of synthesized compounds on character of substituent and nature of the solvent are established. Comparative study of their properties in solutions and polymer layers is realized. Tests show that acylaminoderivatives can be used as components of photochromic materials.
Full Text
Производные антрахинона широко применяются в различных областях науки и техники в качестве красителей, пигментов, люминофоров, катализаторов, биологически активных и лекарственных препаратов [1-3]. Светочувствительные производные хинонов используются при создании новых фотохромных и фоторезистивных материалов для современных средств оптической записи и обработки информации [4-6]. Возросший интерес к исследованию фотохромных соединений связан с развитием нанотехнологий, направленных на миниатюризацию технических устройств. Среди новых направлений синтеза, изучения и применения органических фотохромных веществ усилия исследователей направлены на создание полифункциональных фотохромных соединений, перспективных при создании компактных молекулярных устройств [7].
Возможность использования фотохромного соединения для практических целей определяется совокупностью физико-химических характеристик. Образец должен быть устойчив к разложению, обладать стабильной окрашенной формой, иметь большой цветовой контраст между начальной и фотоиндуцированной формой и высокую цикличность переходов [8, 9].
Целью представленной работы является изучение влияния характера заместителей и природы растворителя или полимерного связующего на эффективность фотохромного процесса в ряду 2-ациламино-1-арилоксиантрахинонов. С этой целью был проведен синтез 2-ациламино-производных, в которых карбонильный атом углерода связан с максимально различными по электронной природе группами.
Для синтеза фотохромных 1-арилокси-2-ациламино-9,10-антрахинонов использовались реакции ацилирования аминогруппы. Исходный 1-п-трет-бутилфенокси-2-амино-9,10-антрахинон (1) был получен реакцией нуклеофильного замещения атом хлора при нагревании смеси 1-хлор-2-амино-9,10-антрахинона и п-трет-бутилфенола в присутствии основного агента [10].
1-п-трет-бутилфенокси-2-ациламиноантрахиноны (2, 4-7) получены ацилированием 1-п-трет-бутилфенокси-2-амино-9,10-антрахинона (1) соответствующими ацилхлоридами в толуоле в присутствии пиридина. Для синтеза соединения 3 в качестве ацилирующего агента использовали ангидрид трифторуксусной кислоты.
Схема 1
Строение всех синтезированных соединений было подтверждено спектральными данными и данными элементного анализа (эксп. часть).
Для установления влияния характера заместителя в положении 2 на фотохромные свойства 1-арилоксиантрахинонов растворы полученных соединений в бензоле или толуоле подвергались действию УФ-света (светофильтр УФС-1) с одновременным измерением электронных спектров поглощения (ЭСП) через определенные промежутки времени до получения максимальной оптической плотности фотоиндуцированной формы. Известно [11], что фотоизомеризация 1-арилокси-9,10-антрахинонов с образованием глубокоокрашенных 9-арилокси-1,10-антрахинонов для большинства производных обратима и протекает по нижеприведенной схеме 2.
Схема 2
На рис. 1 показаны характерные спектральные изменения исследуемых образцов в ходе облучения. Растворы ациламинопроизводных 2-7 при облучении УФ-светом изменяют цвет от светло-желтого до красно-фиолетового с сохранением всех изобестических точек. Наличие изобестических точек говорит об однозначности процесса, т. е. фотоинициируемая перегруппировка пара-хиноидной структуры в ана-хиноидную происходит без образования побочных продуктов.
Рис. 1. ЭСП соединения 5 в бензоле (С=1 10-4 моль/л) до (––) и после облучения в течение 5 мин (----)
Наблюдаемые спектральные изменения обратимы: при облучении засвеченных образцов видимым светом (светофильтр ЗС-10) спектр фотоформы исчезает и полностью восстанавливается спектр исходного соединения (за исключением соединения 4). Процесс может быть повторен многократно, т.е. полученные 2-ациламинопроизводные являются типичными фотохромными соединениями. Результаты проведенных измерений показывают, что при облучении исследуемых соединений достигается значительный цветовой контраст перехода, который составляет 172 – 184 нм (табл. 1).
Таблица 1. Изменение ЭСП растворов соединений 2–7 в бензоле до и после облучения; константы фотоизомеризации (прямой и обратной) и деструкции фотоформы
| № | R | λmax (lg e) | kпр., с‑1 | kобр.10-2, с-1 | kдестр.10-2, с‑1 | |
| до облучения | после облучения | |||||
| 2 | 374 (3.75) | 546 (3.92) | 0.12 | 14.7 | 3.0 | |
| 3 | 363 (3.72) | 536 (3.94) | 0.16 | 7.8 | 8.6 | |
| 4 | 388(3.82) | 571(3.99) | 0.13 | – | 1.2 | |
| 5 | 367 (3.90) | 549 (4.08) | 0.16 | 3.3 | 2.8 | |
| 6 | -С6Н4(4-NO2) | 368 (3.93) | 543 (4.04) | 0.17 | 6.9 | 2.9 | 
| 7 | 340 (3.79) | 524 (3.93) | 0.15 | 7.6 | 8.3 | |
Электронный характер заместителя в ацильном остатке заметно влияет на положение максимума поглощения, как исходного соединения, так и его фотоформы (ФФ). Акцепторные заместители сдвигают максимум поглощения в коротковолновую область, а донорные – в длинноволновую, причем батохромный эффект для ФФ выше.
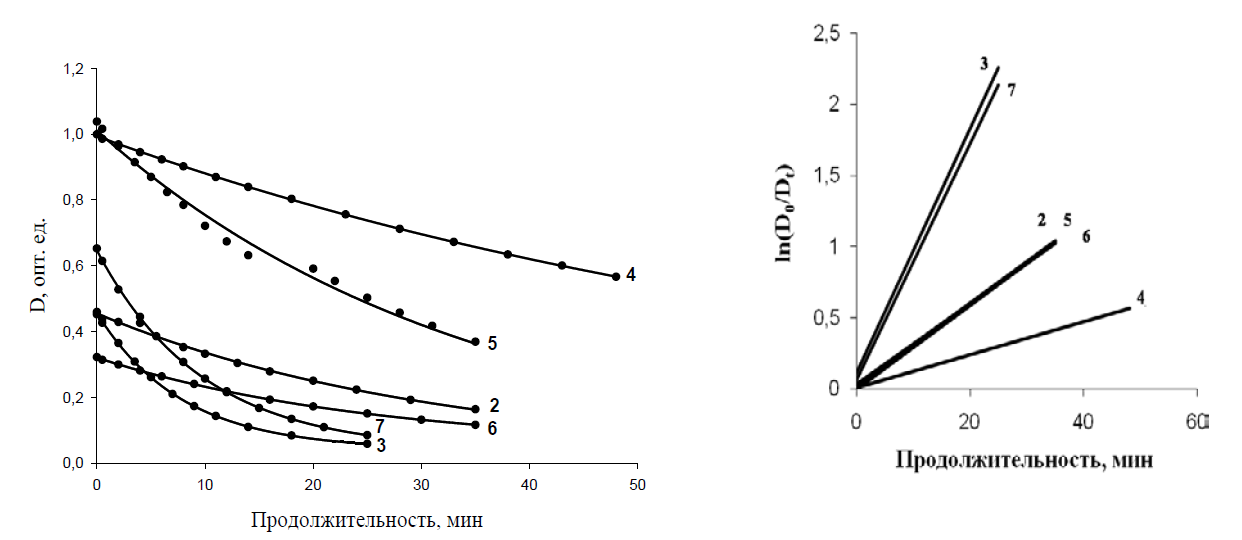
Из данных, приведённых в таблице 1, следует, что заместители в положении 2 в ядре антрахинона оказывают влияние как на скорость фотоизомеризации (kпр. и kобр.), так и на устойчивость фотоформы (kдестр.). Светочувствительность (скорость достижения фотостационарного состояния) оказалась выше у соединений 3 и 7 с электроноакцепторными заместителями в ацильном остатке. Кинетические зависимости процессов фотоокрашивания представлены на рисунке 2.
На основании полученных данных были рассчитаны константы скорости прямой фотоизомеризации (табл. 1). Очевидно, что фотоизомеризация ускоряется при наличии электроноакцепторных заместителей в аминогруппе. Наличие донорных заместителей замедляет фотопроцесс.
Рис. 2. Изменение оптической плотности растворов 2а-7а в толуоле при облучении УФ-светом
Важной характеристикой фотохромного процесса является скорость обратной фотоизомеризации ана-формы в пара-хинон, т. е. фактически «стирания» записанного изображения. Исследуемые растворы подвергали действию УФ-света до достижения фотостационарного состояния. Затем проводили облучение исследуемых образцов видимым светом через светофильтр ЗС-10 (lmax= 550 нм, рис. 3).
Расчет констант скоростей обратной реакции фотоизомеризации исследуемых производных показал, что скорость «стирания» изображения на порядок ниже скорости фотоокрашивания. На рисунке 3 видно, что прямой зависимости скорости обратной реакции от электронной природы заместителя не наблюдается. Численные значения констант скоростей kобр. (табл. 1) свидетельствуют о том, что наибольшая скорость обратной фотоизомеризации у соединения 2а с алкильным заместителем, а наименьшая – у производного 5а с фенильным заместителем в ацильном остатке. Оказалось, что донорный заместитель (диэтиламиногруппа) стабилизирует фотоиндуцированный ана-хинон 4а настолько, что это производное становится не фотохромным, т. е. обратная реакция под действием света не идет.
Рис. 3. Изменение оптической плотности соединений 2а-7а в толуоле при облучении видимым светом через светофильтр ЗС-10
Зависимость эффективности фотоизомеризации от природы растворителя исследовалась нами на примере соединения 5 в разных по полярности и протонодонорной активности растворителях: неполярные – гексан и бензол, полярные апротонные – ацетонитрил, ДМСО и ДМФА, полярный протонсодержащий – изобутиловый спирт.
Растворы соединения 5 в указанных растворителях подвергались фотолизу до достижения фотостационарного состояния. В таблице 2 приведены количественные данные по относительному содержанию фотоформы 5а в растворе. Как видим, фотоизомеризация во всех исследованных растворителях проходит достаточно эффективно. Наиболее интенсивное окрашивание раствора наблюдается в случае ДМСО и ДМФА. При переходе от полярных растворителей к неполярным наблюдается сдвиг ДПП 5а в длинноволновую область, т. е. имеет место сольватохромный эффект. Такой эффект не наблюдается для исходного хинона 5, что говорит о большей полярности структуры ана-хинона 5а. При проведении фотолиза 5 в изобутиловом спирте образование фотопродукта наблюдается лишь в первый момент облучения. При дальнейшем облучении изобестическая точка не сохраняется и наблюдается появление продукта гидролиза – 1-гидрокси-2-бензоиламиноантрахинона с lmax= 430 нм. Изменение хода процесса связано с химическим взаимодействием ана-хинона 5а с растворителем. Из литературных данных хорошо известна высокая реакционная способность 1,10-антрахинонов по отношению к нуклеофильным агентам [11, 12].
Таблица 2. Длинноволновая полоса поглощения (ДПП) 5а в растворителях и достигаемое отношение оптических плотностей ФФ и исходного хинона
| Растворитель | ε | λmax, нм | Dфф/Dисх | 
| 
 | 
 | 
 | 
 | 
| 
 | 
 | 
 | 
 | 
| Гексан | 1.88 | 541 | 1,00 | 
| Бензол | 2.28 | 549 | 0,61 | 
| Ацетонитрил | 36.02 | 536 | 0,86 | 
| ДМФА | 36.70 | 520 | 1,18 | 
| ДМСО | 46.68 | 530 | 1,19 | 
| Изобутиловый спирт | 17.7 | - | - | 
Для практического применения фотохромных материалов важна устойчивость фотоформы при ее хранении. Гибель фотоформы, как правило, обусловлена процессами гидролиза из-за наличия следов влаги в воздухе и растворителе. Для оценки относительной устойчивости ана-хинонов 2а-7а, мы измерили кинетику деструкции этих соединений. В качестве модельной была выбрана реакция с изопропиловым спиртом. Реакция со спиртом проходит с образованием слабоокрашенных аддуктов, причем скорость реакции зависит от характера заместителя в ацильном остатке.
Константы скорости реакции возрастают при переходе от донорных заместителей в ацильном остатке к акцепторным. Оказалось, что наиболее реакционноспособными являются соединения 3, 7 с электроноакцепторными заместителями, а наиболее устойчивым является соединение 4 с донорным заместителем, но, как было установлено, оно не фотохромно. Наиболее пригодными для записи и хранения информации могут быть соединения 2, 5, 6 с достаточно стабильной фотоформой.
Рисунок 4. Кинетика реакций соединений 2а-7а с изопропиловым спиртом
Проведенные нами исследования фотоизомеризации соединений 2-7 в различных растворителях показали, что фотоперегруппировка во всех случаях, кроме соединения 4, носит обратимый характер, сопровождается значительными изменениями в видимой области спектра, соединения 2, 5, 6 отличаются достаточной стабильностью фотоиндуцированной формы и, в силу этого, представляют практический интерес.
Для того чтобы оценить возможность практического использования полученных производных 1-арилокси-9,10-антрахинона в качестве светочувствительной компоненты фотохромных материалов (ФХМ), представляло интерес исследовать их в тонких слоях полимерной матрицы в виде реальных ФХМ и изучить их фотографические характеристики.
В качестве светочувствительной компоненты ФХМ мы использовали производное 5. Фотохромные материалы получали нанесением (полив) на подложку (стекло, пленка) слоя светочувствительной композиции, состоящей из раствора фотохромного соединения (ФХС) в полимере (поливинилацетат, полистирол). После удаления растворителя светочувствительный слой представлял собой слой полимера, в котором молекулярно диспергировано ФХС. Облучение проводили как нефильтрованным, так и фильтрованным светом лампы ДРШ-250.
Влияние полимерного связующего на скорость фотоизомеризации исследовалось посредством облучения полимерных композиций УФ-светом через определенные промежутки времени до достижения максимальной оптической плотности. Кинетические зависимости фотоизомеризации ФХМ, приготовленных с использованием разных полимерных связующих (ПВА и ПС), практически совпадают, что свидетельствует о незначительном влиянии природы полимера на скорость процесса записи изображения.
Основное достоинство ФХМ – возможность получения изображения в момент экспонирования без какой-либо химической обработки, а также возможность стирания старого и записи нового изображения. Поэтому одной из важнейших характеристик ФХМ является длительность хранения изображения, т. е. скорость темновой деструкции ФФ.
Для оценки термической стабильности фотоиндуцированной формы, предварительно засвеченные исследуемые ФХМ, были разделены на две группы: первая группа ФХМ хранилась в затемненном контейнере на воздухе, а вторая в эксикаторе. Изменение оптической плотности полимерного слоя контролировали с помощью спектрофотометра в течение четырех суток. На рисунке 5 представлены результаты измерения скорости темновой деструкции фотоформы в ПВА и ПС.
Рисунок 5. Кинетика темновой деструкции 5а в ПВА и ПС
Результаты исследования показали, что темновая деструкция ФФ в полистироле происходит медленнее по сравнению с ПВА, поэтому наиболее пригодным для практического использования полимерным связующим при разработке ФХМ является полистирол. Хранение ФХМ в эксикаторе также снижает скорость темновой деструкции.
Таким образом, в результате проведенных исследований была установлена количественная зависимость фотохимических характеристик синтезированных 2-ациламинопроизводных 1-арилоксиантрахинона от характера заместителя в ацильном остатке и природы растворителя. Показана перспективность использования ряда синтезированных 2-ациламинопроизводных 1-арилоксиантрахинона в качестве компонент фотохромных материалов.
Экспериментальная часть
Электронные спектры поглощения измеряли на спектрофотометре «Lambda 35 UV/VIS» фирмы Perkin Elmer, сопряженном с ПК. Для записи спектров использовали кварцевые кюветы с длиной оптического пути l = 1 см. ИК-спектры зарегистрированы на спектрофотометре «Spectrum One FT-IR» фирмы Perkin Elmer в таблетках в KBr.
Спектры ЯМР 1H и 13С записаны на приборах Bruker WP-200SY. Для записи спектров использовали растворы в СDCl3 и DMSO-d6. Химические сдвиги (м.д.), приведены в шкале δ, внутренний стандарт – SiMe4.
Масс-спектры (ЭУ) получены на приборе Finnigan MAT-8200 при ионизационном напряжении электронов 70 эВ, температура в камере ионизации 100–220 °С. Приведены значения m/z для молекулярного иона [M]+.
Хроматографию осуществляли на колонках с силикагелем (L ~ 5–140 мкм) и в тонком слое (ТСХ) на стандартных пластинках Silufol UV-254. Температуры плавления определяли на микронагревательном столике Кофлера.
Фотолиз проводили с использованием света лампы СВД-125 с фильтром УФС-1 (280-400 нм), а также полного спектра ртутной лампы. Линию 550 нм выделяли из спектра ртутной лампы фильтром ЗС-10.
Коммерческие растворители марки ХЧ и ОСЧ использовали без дополнительной очистки.
Ацилирование 1-п-трет-бутилфенокси-2-амино-9,10-антрахинона (1) (общая методика).
- Соединения 2, 4-7. Смесь 0.01 моль 1 и 0.015 моль соответствующего хлорангидрида кислоты кипятили в 50 мл толуола в течение 0.5 – 2 ч. (контроль по ТСХ). Реакционную массу упаривали до объема 3-4 мл и приливали серный эфир. Осадок фильтровали, промывали эфиром и сушили. Хроматографировали на колонке с SiO2, элюент – хлороформ. Выделяли основную фракцию бледно-желтого цвета, содержащую целевой продукт.
- Соединение 3. Смесь 0.01 моль 1, 12 мл трифторуксусного ангидрида и 2 мл пиридина нагревали при 1000С в течение 1 ч. Реакционную массу выливали на лед, осадок отфильтровывали, промывали водой, сушили.
Соединение 2. Выход 87%. Т. пл. 180-181° (этанол – бензол). Спектр ПМР (δ, м. д., J/Гц): 0.81 (д, 6Н, СН(СН3)2, J 5.0); 1.21 (с, 9Н, (С(СН3)3); 2.60 (септет, 1Н, СН(СН3)2, J 5.0); 6.77 (д, 2Н, Н-2',6', J 8.5); 7.25 (д, 2Н, Н-3',5', J 8.5); 7.85 (м, 2Н, Н-6,7); 8.01 (м, 1Н, Н-8); 8.13 (м, 1Н, Н-5); 8.16 (д, 1Н, Н-3, J 9.0); 8.45 (д, 1Н, Н-4, J 9.0); 9.57 (у.с., 1Н, NH). ИК-спектр (КВг, ν, см-1): 3429 (N–H); 3070 (С–Наром); 2964 (С–Налиф); 1711, 1674 (С=О); 1587 (С=Саром). Найдено, %: С 76.26; Н 6.20; N 3.26. C28H27NO4. Вычислено, %: С 76.19; Н 6.12; N 3.17. M441.
Соединение 3. Выход 97%. Т. пл. 218-219° (этанол – бензол). Спектр ПМР (δ, м. д., J/Гц): 1.27 (с, 9Н, (С(СН3)3); 6.78 (д, 2Н, Н-2',6', J 8.5); 7.30 (д, 2Н, Н-3',5', J 8.5); 7.58 (м, 2Н, Н-6,7); 7.80 (м, 1Н, Н-8); 8.25 (м, 1Н, Н-5,); 8.26 (д, 1Н, Н-3, J 9.0); 8.54 (д, 1Н, Н-4, J 9.0); 9.87 (у.с., 1Н, NH). ИК-спектр (КВг, ν, см-1): 3342 (N–H); 3070 (С–Наром); 2984 (С–Налиф); 1718, 1665 (С=О); 1587 (С=Саром). Найдено, %: С 66.90; Н 4.37; F 12.30; N 3.21. C26H20F3NO4. Вычислено, %: С 66.81; Н 4.28; F 12.21; N 3.00. M 467.
Соединение 4. Выход 79%. Т. пл. 192-194° (этанол – бензол). Спектр ПМР (δ, м. д., J/Гц): 0.82 (т, 6Н, N(CН2СН3)2); 1.22 (с, 9Н, С(СН3)3); 3.15 (кв, 4Н, N(СН2СН3)2); 6.81 (д, 2Н, Н-2',6', J 8.5); 7.29 (д, 2Н, Н-3',5', J 8.5); 7.62 (у.с., 1Н, NH); 7.85 (м, 2Н, Н-6,7); 8.01 (м, 2Н, Н-8); 8.14 (д, 2Н, Н-3,5, J 9.0); 8.63 (д, 1Н, Н-4, J 9.0). ИК-спектр (КВг, ν, см-1): 3447 (NH); 3070 (С–Наром); 2964 (С–Налиф); 1674 (С=О); 1580 (С=Саром). Найдено, %: С 74.24; Н 6.29; N 5.91. C29H30N2O4. Вычислено, %: С 74.04; Н 6.38; N 5.96. M 470.
Соединение 5. Выход 94%. Т. пл. 212-213° (бензол). Спектр ПМР (δ, м. д., J/Гц): 1.29 (с, 9Н, С(СН3)3); 6.89 (д, 2H, H-2',6', J 8.5); 7.34-7.54 (м, 7H, H-3',5', С6Н5); 7.83 (м, 2H, Н-6,7), 8.23-8.54 (м, 3H, Н-3,5,8); 8.72 (д, 1Н, Н-4, J 9.0); 9.25 (у.с., 1H, NH). ИК-спектр (КВг, ν, см-1): 3432 (NH); 3070 (С–Наром); 2965 (С–Налиф); 1679 (С=О); 1589 (С=Саром). Найдено, %: С 78.22; Н 5.17; N 3.03. C31H25NO4. Вычислено, %: С 78.32; Н 5.26; N 2.95. M 475.
Соединение 6. Выход 86%. Т. пл. 243-244° (бензол). Спектр ПМР (δ, м. д., J/Гц): 1.28 (с, 9Н, С(СН3)3); 6.80 (д, 2H, H-2',6', J 8.5); 7.26 (д, 2H, H-3',5', J 8.5); 7.77 (д, 2H, H-2",6", J 8.5); 7.89 (м, 2Н, Н-6,7); 8.05 (м, 1H, Н-8); 8.19 (м, 1H, Н-5); 8.23 (д, 2H, H-3",5", J 8.5); 8.27 (д, 1Н, Н-3, J 9.0); 8.42 (д, 1Н, Н-4, J 9.0); 10.49 (у.с., 1H, NH). ИК-спектр (КВг, ν, см-1): 3418 (NH); 3069 (С–Наром); 2963 (С–Налиф); 1693, 1672 (С=О); 1589 (С=Саром); 1528, 1337 (NO2). Найдено, %: С 71.38; Н 4.58; N 5.49. C31H24N2O6. Вычислено, %: С 71.54; Н 4.62; N 5.38. M520.
Соединение 7. Выход 89%. Т. пл. 213-214° (этанол – бензол). Спектр ПМР (δ, м. д., J/Гц): 1.28 (с, 9Н, (С(СН3)3); 6.75 (д, 2Н, Н-2',6', J 8.5); 7.25 (д, 2Н, Н-3',5', J 8.5); 7.82 (м, 2Н, Н-6,7); 7.95 (м, 1Н, Н-8); 8.15 (м, 1Н, Н-5,); 8.20 (д, 1Н, Н-3, J 9.0); 8.68 (д, 1Н, Н-4, J 9.0); 10.26 (у.с., 1Н, NH). ИК-спектр (КВг, ν, см-1): 3415 (N–H); 3065 (С–Наром); 2969 (С–Налиф); 1689, 1672 (С=О); 1587 (С=Саром). Найдено, %: С 65.81; Н 3.65; F 16.68; N 2.34. C31H20F5NO4. Вычислено, %: С 65.84; Н 3.54; F 16.81; N 2.48. M 565.
Изготовление фотохромных материалов
Фотохромные материалы (ФХМ) готовили путем нанесения на жёсткую подложку композиции, представляющей раствор фотохромного соединения (ФХС) в полимере. В качестве подложки использовали стеклянные пластинки. В качестве полимерного связующего – поливинилацетат бисерный (10-15% в смеси растворителей – ацетон, толуол и хлорбензол в соотношении 1:2:1) и полистирол (20% раствор в толуоле). Концентрация ФХС по отношению к полимеру – 5%. Перед нанесением светочувствительного слоя стеклянную подложку обрабатывали хромовой смесью, промывали дистиллированной водой и сушили при 110оС в течение 30 минут. Нанесение слоя осуществлялось путем медленного полива подложки светочувствительным раствором. Стеклянную подложку со слоем ФХМ сушили в темноте при комнатной температуре в течение 3 суток.
About the authors
Lyubov S. Klimenko
Yugra State University
							Author for correspondence.
							Email: l_klimenko@ugrasu.ru
				                					                																			                								
Doctor of science – chemistry, Professor of Chemistry Department, Institute of Nature Management, Yugra State University
Russian Federation, 16, Chehova street, Khanty-Mansiysk, 628012Dmitrii S. Korneev
Institute of oil chemistry SB RAS
														Email: golovko@ipc.tsc.ru
				                					                																			                								
Master of chemistry, Postgraduate student, Institute of oil chemistry SB RAS
Russian Federation, 4, Academichesky prospect, Tomsk, 634055Vasilii A. Litvinov
Yugra State University
														Email: chemist.yugu@gmail.com
				                					                																			                								
Master of chemistry, Postgraduate student, Institute of Nature Management, Yugra State University
Russian Federation, 16, Chehova street, Khanty-Mansiysk, 628012References
- Горелик, М. В. Химия антрахинонов и их применение. – М.: Химия, 1983. – 296 с.
- Файн, В. Я. 9,10-Антрахиноны и их применение. – Москва: Центр фотохимии РАН, 1999. – 92 с.
- Горностаев, Л. М. Избранные главы химии хинонов и хиноидных соединений [Текст] : монография / Л. М. Горностаев ; М-во образования и науки Российской Федерации, Федеральное гос. бюджетное образовательное учреждение высш. проф. образования «Красноярский гос. пед. ун-т им. В. П. Астафьева». – Красноярск: Красноярский гос. пед. ун-т им. В. П. Астафьева, 2013. – 156 с.
- Barachevsky, V. A. Photochromic quinones in Organic photochromic and termochromic compounds. / Eds. Crano J.C., Guglielmetti R. – Plenum Press. New York. – 1999. – V. 1. – P 267–314.
- Бетхер, Х., Эпперляйн, И., Ельцов, А.В. Современные системы регистрации информации. Основные принципы, процессы, материалы. С.-Петербург: Синтез. – 1992. – 328 c.
- Irie, M. Photochromism: Memories and Switches – Introduction. Chem. Rev., – 2000. – V.100. – №5. – P.1683.
- Минкин, В. И. Бистабильные органические, металлоорганические и координационные соединения для молекулярной электроники и спинтроники. Изв. АН, – 2008. – № 4. – С. 673-703.
- Органические фотохромы / Под ред. Ельцова А. В. – Химия. Ленинград. – 1982. – 285 c.
- Барачевский, В. А., Лашков, Г. И., Цехомский, В. А. Фотохромизм и его применение. – Химия. Москва. – 1977. – 280 c.
- Эфрос, Л. С., Горелик, М. В. Химия и технология промежуточных продуктов. – Л.: Химия, 1979. – 544 с.
- Gritsan, N. P., Klimenko, L. S. Photochromism of quinoid compounds: properties of photo-induced ana-quinones J. Photochem. Photobiol. A: Chem. – 1993. – V. 70. – P. 103-117.
- Klimenko, L. S., Leonenko, Z. V., Gritsan, N. P., Reactions of photoinduced 9-aryloxy-1,10-anthraquinones. Mol. Cryst. Liq. Cryst. – 1997. – V. 297. – P. 181-188.
- Gritsan, N. P., Klimenko, L. S., Leonenko, Z. V., Mainagashev, I. Ya., Mamatyuk, V. I., Vetchinov, V. P. Experimental and quantum chemical study of the reactions of 1,10-anthraquinones with alcohols and amines. Tetrahedron. – 1995. – V. 51. – №. 10. – P. 3061-3076.
Supplementary files
 
				
			 
					 
						 
									
 
  
  
  Email this article
			Email this article 








