Implementation of the method of structural-parametric optimization of graph models of organizational-technical systems
- Authors: Popov A.V.1
-
Affiliations:
- Voronezh Institute of the Ministry of Internal Affairs of Russia
- Issue: Vol 19, No 3 (2023)
- Pages: 35-45
- Section: MATHEMATICAL MODELING AND INFORMATION TECHNOLOGIES
- Published: 01.11.2023
- URL: https://vestnikugrasu.org/byusu/article/view/540161
- DOI: https://doi.org/10.18822/byusu20230335-45
- ID: 540161
Cite item
Full Text
Abstract
Subject of research: possibility of realization of structural and parametric transition between different states of organizational and technical systems taking into account the properties and features of the processes realized in them.
Purpose of research: the need to develop and implement methods aimed at solving optimization problems, which are associated with structural transformations of models of organizational and technical systems, and allowing to take into account their intermediate states during the transition from the initial state to the required state.
Objects of research: mathematical models of organizational and technical systems in the form of sign weighted oriented graphs built on the basis of selected types of relations between elements in terms of conflict theory.
Methods of research: the method of system analysis is used, associated with the allocation of types of relations between the elements of the studied systems in terms of conflict theory, as well as the formalization of the solution of optimization problems on the basis of structural-parametric representation of research objects.
Main results of research: models of organizational-technical systems in structural-parametric relation with regard to the selected types of relations between their elements from the point of view of the conflict theory are given; a method is developed, which is based on the formation of tuples of operations necessary for the structural transformation of the systems under study, and which allows taking into account the ways of indirect transition from the initial state of the system to the required (optimal) one; an auxiliary algorithm is developed, which is based on the use of a database containing a set of tuples of augmentations An example of implementation of the proposed method on the model of communication network is given, which shows how the structural-parametric optimization of organizational and technical systems can be carried out.
Full Text
Введение
Деятельность органов внутренних дел сопряжена с непрерывной эксплуатацией технических средств различного назначения. Таким образом, процессы, направленные на повышение эффективности деятельности подразделений территориальных органов МВД России, связанной с охраной общественного порядка и обеспечением общественной безопасности, требуют разработки новых методов и подходов к исследованию свойств и решению оптимизационных задач по поддержанию надежного и бесперебойного функционирования систем «человек-техника». Как правило, такие системы рассматривает теория организационно-технических (эргатических) систем [1–3]. Она позволяет формировать системное представление о структурных особенностях и принципах функционирования организационно-технических систем (ОТС) в различных условиях. Под такими условиями будем понимать совокупность воздействий (реализуемых процессов) элементов системы друг на друга, характер которых определяет дальнейшую динамику развития системы, т. е. способствует как повышению, так и снижению эффективности функционирования ОТС. В общем случае можно выделить два класса процессов: процессы, реализуемые организационным элементом (р1 – проектирование; р2 – модернизация; р3 – эксплуатация; р4 – управление; р5 – мониторинг качества оказываемых услуг; р6 – техническое обслуживание; р7 – ремонт; р8 – хранение; р9 – транспортирование) и процессы, реализуемые техническим элементом (р10 – формирование; р11 – прием; р12– обработка; р13 – хранение; р14 – передача сообщений электросвязи).
Характер возникающих воздействий в зависимости от природы реализуемых процессов в рассматриваемой предметной области способствует возникновению отношений между элементами, которые обосновываются с точки зрения концептуально-понятийного аппарата теории конфликтов [4–6]. Так, при реализации некоторого процесса элементом по отношению к элементу в зависимости от взаимодостижимости их индивидуальных целей может быть выделено одно из трех базовых типов отношений: конфликт (), сотрудничество () или безразличие ().
Выделение типов отношений между элементами обуславливает тот факт, что при моделировании ОТС с точки зрения теории конфликтов нашли свое применение знаковые ориентированные взвешенные графы [7], в которых элементам системы соответствуют вершины , а отношениям между каждым -м и -м элементами – дуги . Таким образом, модель некоторого состояния исследуемой системы , в состав которой входит множество элементов , множество воздействий элементов друг на друга , а также множество функций полезности элементов , на основе которых выделяются типы отношений, будет представлена в виде графа , где – множество вершин графа (), – множество дуг графа (), – множество весовых коэффициентов влияний, присваиваемых дугам, где ; – множество знаков дуг графа, задаваемых на основе выделенных типов отношений в соответствии со следующими условиями:
Таким образом, является моделью состояния системы в структурно-параметрическом представлении. Поскольку на некотором интервале времени не всегда может признаваться оптимальным, ввиду наличия в ее структуре совокупности процессов, способствующих снижению эффективности функционирования такой ОТС, возникает необходимость ее модернизации. Проводимые исследования [8, 9] выявили зависимость между структурно-параметрическими свойствами моделей показателями эффективности ОТС. Наряду с этим, повышение эффективности функционирования сопряжено, в том числе, со структурными изменениями ее модели .
Так, если исходное состояние было признано неэффективным, задача структурно-параметрической оптимизации сводится к поиску пути перехода из в , где – структура состояния , которое является эталонным (оптимальным).
Работы авторов [10–14] сопряжены с исследованием и разработкой различных алгоритмов и операций на графовых моделях систем различного назначения в целях решения оптимизационных задач. Так, например, в исследовании [10] – графовые модели технической, информационной части объекта управления, а также обобщенная модель объекта и реализуемые в них переходы из одного состояния в другое рассмотрены, основываясь на методах, реализованных в теории автоматов; в [11] исследован случайный процесс распространения огня по ребрам двух видов конфигурационных графов со случайными степенями вершин, а также оценены оптимальные значения распределений параметров степеней вершин. В работе [12] предлагаются математические методы декомпозиции графовых моделей информационных систем (ИС), позволяющие снизить вычислительную сложность задач нахождения временных оценок ИС, а в [14] представлено обобщенное представление сложной системы в виде ее формализации в форме графа с вероятностными значениями его вершин, определяющими конкретное исследуемое свойство структурных элементов изучаемой системы.
Однако в работах не рассмотрены вопросы, связанные с необходимостью структурных преобразований графовых моделей исследуемых систем, а также определения минимального перечня операций на графе, необходимых для требуемого преобразования. Отметим, что процесс перехода из исходного состояния системы в требуемое должен осуществляться с учетом интерпретации реализуемых мероприятий в предметной области.
Постановка цели и задачи исследования
Целью исследования является разработка и реализация метода и алгоритма, направленных на решение оптимизационных задач, которые связаны со структурными преобразованиями моделей организационно-технических систем, и позволяющих учитывать их промежуточные состояния при переходе из исходного состояния в требуемое.
Результаты и обсуждение
В наиболее простом представлении метод структурно-параметрической оптимизации [155] заключается в формировании кортежа на основе графа , определяемого выражением
(1)
где – структура исходного состояния, требующего модернизации; – оператор симметрической разности.
Кортеж операций на графе , необходимых для перехода , будет называться кортежем прямого перехода, задаваться как
и включать в себя семь основных операций: – добавление вершины ; – удаление вершины ; – добавление положительной дуги ; – добавление отрицательной дуги; – удаление дуги; – изменение знака дуги; – изменение веса дуги.
Таким образом, если и – матрицы смежности графов и соответственно, и , то формирование и пополнение кортежа будет осуществляться следующим образом:
1) если и , (2)
то выполняется проверка условий
(3)
где – оператор включения элемента в множество.
2) если , (4)
то изначально выполнить операцию:
после чего выполнить проверку условий (3) .
3) если , (5)
то выполнить
после чего аналогичным образом выполнить проверку условий (3) .
В результате будет сформирован кортеж реализуемых операций для перехода из в , например, . Как правило, учитывая свойства реализуемых процессов в реальных ОТС, в большинстве случаев является невозможным осуществить структурно-параметрический переход из исходного состояния в оптимальное, используя только тот перечень операций, который содержит кортеж прямого перехода . Возникает это по причине того, что, например, целенаправленное удаление дуги или вершины в графе (операции и соответственно) интерпретируется как подавление некоторого процесса в системе, либо нейтрализация элемента . Зачастую выполнение таких процедур сопровождается дополнительными структурными преобразованиями, сопровождающимися включением сторонних элементов и (или) процессов, позволяющих решить оптимизационную задачу предметной области.
Таким образом, для адаптации ранее разработанного метода [15] возникает необходимость пополнения кортежа дополнительными операциями для учета промежуточных структурно-параметрических состояний графовых моделей и адекватного отражения свойств реализуемых процессов в ОТС.
Рассмотрим произвольный кортеж операций перехода из в . Положим, что выполнение операции добавления вершины без перехода в промежуточное состояние невозможно, исходя из свойств системы и структуры . Пусть для выполнения операции нужно предварительно добавить в структуру дополнительную вершину и положительную дугу , где . Тогда кортеж операций, необходимых для перехода в промежуточное состояние , примет вид:
,
где – порядковый номер элемента в кортеже .
Определим, что из структуры может быть осуществлен прямой переход в , тогда кортеж операций для прямого структурного перехода будет преобразован в кортеж опосредованного перехода :
,
где – кортеж операций для структурного перехода из в и включающее в себя процедуры удаления ранее добавленного элемента и дуги . Отметим, что если для структурного перехода из в требуется большее количество промежуточных состояний, соответственно, будут формироваться дополнительные кортежи , и т. д.
В случае, когда включает в себя более одного элемента, то формализация решения задачи сводится к формированию кортежей для каждого -го элемента кортежа . В результате формирование кортежа операций опосредованного перехода из в будет осуществляться следующим образом:
, (6)
где (n – 1), (m – 1) – количество промежуточных состояний необходимых для выполнения каждой -й операции, принадлежащей .
При формировании с использованием (6) необходимо учитывать два дополнительных условия:
- если выполнение операций возможно без перехода в промежуточное состояние, то , т. е. и будут состоять только из одного элемента;
- если некоторая операция одновременно принадлежит нескольким кортежам опосредованного перехода, т. е. , то она исключается из при условии, что .
Для того, чтобы сократить временные ресурсы при формирования можно предложить использование базы данных, которая будет содержать информацию о необходимых дополнительных структурных преобразованиях графовых моделей (промежуточных состояниях) для перехода из в при явном определении и оценке каждого процесса , который может быть реализован элементами системы. Такая база данных будет содержать кортежи , требуемые для выполнения операций , и при необходимости может пополняться. Для этого предложим вспомогательный алгоритм, осуществляющий инициализацию всех имеющихся в системе процессов и позволяющий определять состав кортежей для каждой операции , входящей в состав исходного кортежа операций прямого перехода из в . Блок-схема такого алгоритма представлена на рисунке 1.
Рисунок 1 – Блок-схема алгоритма определения кортежей
Представленный на рисунке 1 алгоритм может быть модернизирован путем включения в состав множества операций временных ресурсов, затрачиваемых на их реализацию, а также добавления блоков оценки эффективности выбранного решения и сравнения с другими решениями, имеющимися в базе.
В таком случае для каждого для каждого -го элемента кортежа может формироваться не одно, а несколько альтернативных вариантов кортежей опосредованного перехода для каждого -го промежуточного состояния (при их наличии). С учетом временных характеристик операций кортеж может быть представлен в следующем виде:
(7)
где – время реализации некоторой операции .
Такой подход позволяет осуществить поиск кратчайшего пути перехода из в при помощи выбора пути с наименьшими временными затратами. Так, если и , где – один из альтернативных кортежей для , то будет осуществляться проверка условия
(8)
где и рассчитываются по формулам:
(9)
(10)
Если (8) выполняется, то , в противном случае – .
Апробация разработанного метода
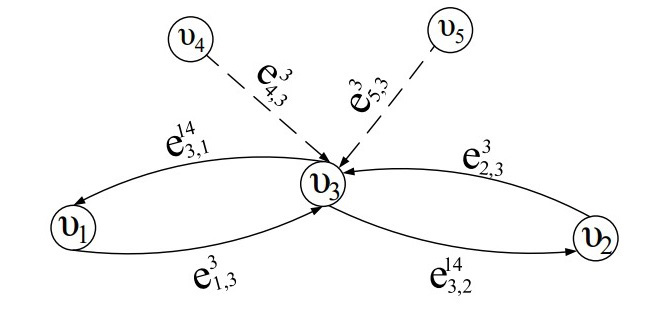
Было рассмотрено некоторое состояние организационно-технической системы на примере сети связи, такое что где – пользователи сети связи; – сетевое устройство (коммутатор); – нарушители; ; . Анализируя свойства реализуемых процессов в таком состоянии сети, можно прийти к выводу о том, что процессы по эксплуатации сетевого устройства ,, реализуемые нарушителями, снижают эффективность функционирования сети связи и, соответственно, приводят к убыванию функции полезности элемента , на который направлено их воздействие (т. е. находятся с ним в состоянии системного конфликта). Логичным является вывод о неэффективности такого состояния системы и необходимости структурного перехода в состояние , обладающее требуемой эффективностью. Как правило, такое состояние системы включает в себя только пользователей и процессы, направленные на эксплуатацию сетевого устройства и передачу данных. Таким образом, модели состояний и представим на рисунках 2 и 3 в виде графов и соответственно.
Рисунок 2 – Граф
Рисунок 3 – Граф
Применяя разработанный метод, было получено, что кортеж прямого перехода из в включает в себя операции удаления дуг и , поскольку для такого структурно-параметрического перехода в соответствии с (4), выполнение двух операций и является необходимым и достаточным. В таком случае подразумевается то, что удаление дуг и происходит автоматически при удалении смежных с ними вершин и . Тогда переход в оптимальное состояние осуществляется с использованием операций, являющихся элементами кортежа .
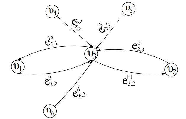
Исходя из свойств данной ОТС, необходимо отметить, что для нейтрализации конфликтного воздействия со стороны нарушителей на сетевое устройство возникает необходимость включения в состав системы дополнительного элемента – инженера, реализующего процесс управления коммутатором , подразумевающего отключение портов коммутатора, либо ограничение их пропускной способности в целях нейтрализации вредоносной деятельности элементов и в сегменте сети связи. Такое обоснование позволило разработать модели и промежуточных состояний для перехода из в для каждого элемента . В силу эквивалентности природы элементов и , реализуемых ими процессов , и выполняемых операций и , был сформулирован вывод о том, что графы и соответствуют друг другу (см. рисунок 4).
Рисунок 4 – Граф
Таким образом, если , то
Исходя из условий формирования кортежей операций (3), было получено, что
;
;
.
Поскольку , то из второго дополнительного условия формирования следует, что
Тогда .
После того как кортеж был сформирован, целесообразно перейти к интерпретации его элементов в предметной области и внесению решения в базу данных, если до этого оно отсутствовало.
Заключение и выводы
Разработанный метод структурно-параметрической оптимизации моделей организационно-технических систем и его реализация позволяют определять перечень операций, необходимых для структурного преобразования моделей ОТС. Благодаря разработанному методу можно оценивать длину как прямого, так и опосредованного пути перехода из исходного состояния в требуемое, обусловленного свойствами процессов, реализуемых в конкретной ОТС.
Учет временных интервалов выполнения каждой операции на графе для структурно-параметрического перехода позволит оценивать и прогнозировать продолжительность реализации комплекса мероприятий по оптимизации любой ОТС и, соответственно, оценивать различные пути решения поставленных задач.
Программная реализация разработанного метода позволит определять перечень мероприятий, направленных на модернизацию и оптимизацию ОТС в целях повышения эффективности ее процессов функционирования, а также существенно сократить временные затраты на поиск оптимальных решений.
1 Если , то размерность матриц смежности выбирается для
About the authors
Aleksey V. Popov
Voronezh Institute of the Ministry of Internal Affairs of Russia
Author for correspondence.
Email: Alex_std_ex@mail.ru
ORCID iD: 0000-0002-9949-0286
Lecturer of Infocommunication Systems and Technologies Department
Russian Federation, VoronezhReferences
- Белов, М. В. Управление жизненными циклами организационно-технических систем / М. В. Белов, Д. А. Новиков. – Москва : Ленанд, 2020. – 384 с. – Текст : непосредственный.
- Компьютерная поддержка сложных организационно-технических систем / В. В. Борисов [и др.]. – Москва : Горячая линия – Телеком, 2002. – 154 с. – Текст : непосредственный.
- Мистров, Л. Е. Метод структуризации конфликтного взаимодействия организационно-технических систем / Л. Е. Мистров, Д. А. Первухин, Ю. В. Ильюшин. – Текст : непосредственный // Записки Горного института. – 2014. – Т. 208. – С. 263–266.
- Дружинин, В. В. Введение в теорию конфликта / В. В. Дружинин, Д. С. Конторов, М. Д. Конторов. – Москва : Радио и связь, 1989. – 288 с. – Текст : непосредственный.
- Сысоев, В. В. Конфликт. Сотрудничество. Независимость. Системное взаимодействие в структурно-параметрическом представлении / В. В. Сысоев. – Москва : Московская академия экономики и права, 1999. – 151 с.– Текст : непосредственный
- Светлов, В. А. Управление конфликтом. Новые технологии принятия решений в конфликтных ситуациях : учебное пособие / В. А. Светлов. – Саратов : Ай Пи Эр Медиа, 2019. – 136 c. – Текст : непосредственный.
- Кристофидес, Н. Теория графов. Алгоритмический подход / Н. Кристофидес. – Москва : Мир, 1978. – 427 с. – Текст : непосредственный.
- Попов, А. В. Условия и порядок проведения натурного эксперимента на сегменте сети связи специального назначения / А. В. Попов. – Текст : непосредственный // Актуальные вопросы эксплуатации систем охраны и защищенных телекоммуникационных систем : сб. мат. конф., Воронеж, 09 июня 2022 года. – Воронеж : ВИ МВД России, 2022. – С. 80–82.
- Попов, А. В. Исследование взаимосвязи между конфликтными свойствами и показателями эффективности организационно-технических систем на примере сети связи специального назначения / А. В. Попов, О. В. Пьянков. – Текст : непосредственный // Вестник Новосибирского государственного университета. Серия: Информационные технологии. – 2022. – Т. 20. – № 4. – С. 39–60.
- Кобзев, В. В. Разработка обобщенной модели объекта управления и действий оператора на основе графа переходов / В. В. Кобзев, А. П. Чернев. – Текст : непосредственный // Морской вестник. – 2018. – № 3(67). – С. 96–98.
- Лери, М. М. Пожар на конфигурационном графе со случайными переходами огня по ребрам / М. М. Лери. – Текст : непосредственный // Информатика и ее применения. – 2015. – Т. 9, № 3. – С. 65-71.
- Меньших, В. В. Декомпозиция графовых моделей информационных систем / В. В. Меньших, Е. Ю. Никулина. – Текст : непосредственный // Вестник Воронежского института МВД России. – 2009. – № 4. – С. 126-131.
- Цветков, А. Ю. Использование формулы Мейсона для преобразования структурных схем и ориентированных графов / А. Ю. Цветков, И. Р. Федоров. – Текст : непосредственный // Инновации. Наука. Образование. – 2021. – № 34. – С. 1175-1180.
- Структурный графовый подход к математическому моделированию исследований динамики сложных информационных систем / А. С. Дубровин, Т. И. Касаткина, В. А. Павлов, С. Ю. Болотова. – Текст : непосредственный // Вестник Воронежского института ФСИН России. – 2017. – № 4. – С. 36-47.
- Пьянков, О. В. Метод синергетической модификации эргатических систем предметного назначения / О. В. Пьянков, А. В. Попов. – Текст : непосредственный // Вестник Воронежского института МВД России. – 2019. – № 4. – С. 64–72.
Supplementary files







