Development of the state support of small business of Ugra
- Authors: Takmasheva I.V.1
-
Affiliations:
- Yugra State University
- Issue: Vol 11, No 4 (2015)
- Pages: 73-75
- Section: Articles
- Published: 15.12.2015
- URL: https://vestnikugrasu.org/byusu/article/view/8641
- DOI: https://doi.org/10.17816/byusu20150473-75
- ID: 8641
Cite item
Full Text
Abstract
In article the analysis of the infrastructure of support of small business existing in the autonomous area is carried out. It is revealed that in the specified sphere become especially actual directions of development: centralization and creation of associative structures. The model of the mechanism of the state support of small business in Khanty-Mansiysk Autonomous Okrug - Ugra is presented.
Keywords
Full Text
В настоящее время многие российские регионы вынуждены искать дополнительные источники для обеспечения своего устойчивого социально-экономического развития. Особенно остро проблема эффективного использования экономического потенциала проявляется в тех регионах, где сформирована минерально-сырьевая база развития.
В России экономическая модель интенсивного и широкомасштабного промышленного освоения природных ресурсов Севера показала свою несостоятельность и зависимость от внешних факторов. В регионах Крайнего Севера отрасли и сферы экономики, призванные обеспечивать комфортные условия для проживания местного населения, где ключевая роль принадлежит малому бизнесу, не получили должного стимулирования и поддержки со стороны государства.
Анализ основных экономико-статистических данных позволяет утверждать, что малый бизнес Ханты-Мансийского автономного округа – Югры активно развивается. Так, экономическая эффективность малого бизнеса в Югре остается высокой по сравнению с Уральским Федеральным округом и Россией в целом, однако его социальная эффективность в округе на сегодня остается недостаточной (доля занятости населения в секторе малого бизнеса в регионе составляет 7 %, когда аналогичный среднероссийский показатель фиксируется на отметке 12 %).
Специфическими чертами социально-экономического развития Югры являются: доминирование добывающей отрасли в структуре экономики; слабо развитая транспортная инфраструктура и влияние сезонности на её функционирование; суровые природно-климатические условия; низкий уровень развития социальной инфраструктуры и сектора потребительских услуг для населения; снижение уровня жизни большей части коренных малочисленных народов Севера; низкая плотность населения и неравномерное распределение ресурсов.
В настоящее время одним из инструментов по оказанию поддержки малым предприятиям является разветвленная сеть объектов инфраструктуры. Несмотря на достаточно развитую инфраструктуру поддержки субъектов малого бизнеса, которая функционирует в настоящее время на территории Югры, на наш взгляд, необходимо реформирование инфраструктуры через создание новых подсистем и элементов.
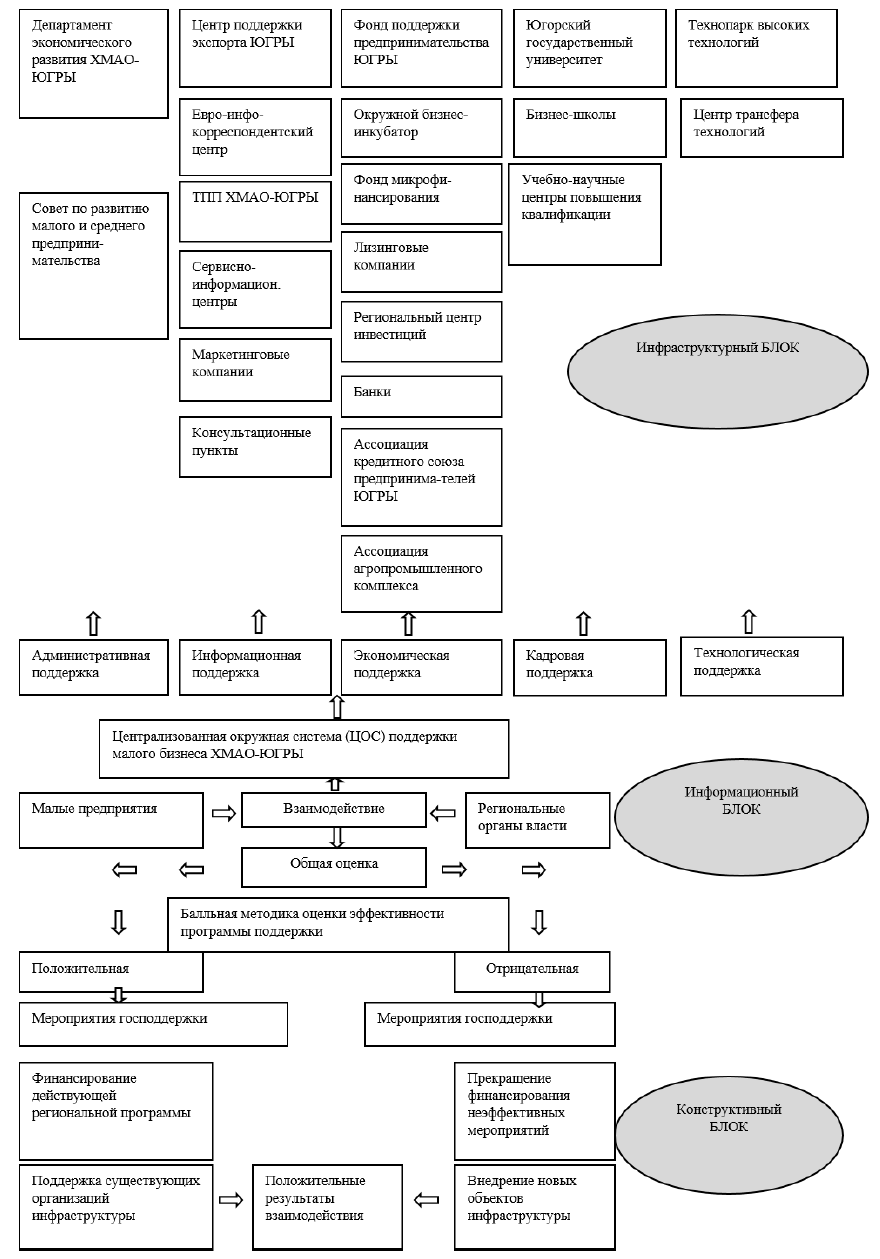
В результате анализа существующей в автономном округе инфраструктуры поддержки малого бизнеса установлено, что в настоящее время предпринимателю для того чтобы получить ту или иную форму государственной поддержки, необходимо пройти значительное количество инстанций, при этом взаимодействовать приходится с организациями, осуществляющими поддержку субъектов малого бизнеса, напрямую. Время, затраченное на переговоры, предприниматель мог бы использовать для развития собственного бизнеса. В рамках предложенной модели предпринимателю предлагается не напрямую взаимодействовать с организациями, образующими инфраструктуру поддержки малого бизнеса, а лишь направлять соответствующую заявку на получение той или иной формы государственной поддержки. Для обработки заявки на окружном уровне необходимо создать дополнительный объект инфраструктуры – «Централизованную окружную систему поддержки малого бизнеса ХМАО-Югры». В перспективе функционирование дополнительной структуры Централизованной окружной системы поддержки малого бизнеса ХМАО-Югры можно осуществлять на базе многофункциональных центров предоставления государственных и муниципальных услуг.
В сфере инфраструктуры поддержки субъектов малого бизнеса особенно актуальным становится централизация и создание ассоциативных структур. Кроме того, одним из главных направлений формирования эффективного механизма государственной поддержки малого бизнеса является уменьшение административных барьеров и любых форм одностороннего государственного вмешательства в сферу малого бизнеса. Этому призван способствовать представленный механизм государственной поддержки малого бизнеса в ХМАО-Югре (Рис. 1).
Рисунок 1 – Модель механизма государственной поддержки малого бизнеса Ханты-Мансийского автономного округа – Югры
Источник: разработано автором на основании данных: О ежегодном отчете Губернатора Ханты-Мансийского автономного округа – Югры о результатах деятельности Правительства Ханты-Мансийского автономного округа – Югры: распоряжение Правительства Ханты-Мансийского автономного округа – Югры от 31 марта 2012 г. № 192-рп // Собрание законодательства Ханты-Мансийского автономного округа – Югры. – 2012. – № 3 (часть II, том 3). – Ст. 347; Богомолова, Л. Л. Концептуальные и практические аспекты реализации государственной поддержки малого бизнеса северных регионов: монография / Л. Л. Богомолова, И. В. Такмашева. – Ханты-Мансийск: ООО «Печатный мир», 2014. – 310 с.
Данная принципиальная схема механизма государственной поддержки малого бизнеса в Ханты-Мансийском автономном округе – Югре состоит из трех блоков: инфраструктурного, информационного и конструктивного. В инфраструктурный блок входит «Централизованная окружная система поддержки малого бизнеса ХМАО-Югры», а также организации, образующие инфраструктуру поддержки малого бизнеса. Информационный блок включает мониторинг и оценку эффективности механизма государственной поддержки малого бизнеса. Оценка эффективности механизма поддержки малого бизнеса может быть как положительной, так и отрицательной. Мониторинг и оценку эффективности мероприятий господдержки малого бизнеса в северных регионах может осуществлять «Исследовательский центр развития малого бизнеса» на основе предложенной балльной методики оценки эффективности целевых программ поддержки малого бизнеса. В конструктивный блок входят мероприятия: финансирование действующих целевых программ и поддержка существующих объектов инфраструктуры или прекращение финансирования неэффективных мероприятий и внедрение новых объектов инфраструктуры (ликвидация неэффективных объектов инфраструктуры).
Результатом функционирования представленного механизма будет рост числа малых предприятий и формирование благоприятной предпринимательской среды.
Построение системы элементов и связей в представленной модели ориентировано на повышение эффективности региональной поддержки малого бизнеса, ключевыми моментами которой являются:
- координация, дифференциация функций и полномочий объектов инфраструктуры;
- усиление взаимодействия малых предприятий и органов власти;
- организация мониторинга проводимых мероприятий поддержки.
About the authors
Irina V. Takmasheva
Yugra State University
Author for correspondence.
Email: D-Lembert@mail.ru
Lecturer of Department of Economics, Institute of Management and Economics
Russian Federation, 16, Chehova street, Khanty-Mansiysk, 628012References
- О создании автономного учреждения Ханты-Мансийского автономного округа – Югры «Технопарк высоких технологий»: распоряжение Правительства Ханты-Мансийского автономного округа – Югры от 20 ноября 2008 г. № 497-рп // Документ опубликован не был. Доступ из справ.-правовой системы «Консультант Плюс».
- О ежегодном отчете Губернатора Ханты-Мансийского автономного округа – Югры о результатах деятельности Правительства Ханты-Мансийского автономного округа – Югры: распоряжение Правительства Ханты-Мансийского автономного округа – Югры от 31 марта 2012 г. № 192-рп // Собрание законодательства Ханты-Мансийского автономного округа – Югры. – 2012. – № 3 (часть II, том 3). – Ст. 347.
- Богомолова, Л. Л. Концептуальные и практические аспекты реализации государственной поддержки малого бизнеса северных регионов: монография [Текст] / Л. Л. Богомолова, И. В. Такмашева. – Ханты-Мансийск : ООО «Печатный мир», 2014. – 310 с.
- Малый бизнес в Ханты-Мансийском автономном округе – Югре: прогноз развития [Электронный ресурс]. – Режим доступа : http://portal/N_prognoz.
Supplementary files



