Synthesis and studying the properties of photochromic materials based on derivatives of anthraquinone
- Authors: Litvinov V.A.1, Klimenko L.S.1
-
Affiliations:
- Yugra State University
- Issue: Vol 12, No 3 (2016)
- Pages: 12-19
- Section: Articles
- Published: 15.09.2016
- URL: https://vestnikugrasu.org/byusu/article/view/7406
- DOI: https://doi.org/10.17816/byusu201612312-19
- ID: 7406
Cite item
Full Text
Abstract
Objects of the study are derivatives of 1-p-t-butyl-phenoxy-9,10-anthraquinone with the various substituents in the position 2 and 4. As a result new anthraquinone derivatives have been obtained and the comparative study of their photochromic properties in solutions and polymer layers have been realized. The direct dependence of photographic characteristics of samples on chemical structure and conditions of thermal treatment was established. Tests have shown that the acylaminoderivatives of 1-aryloxy-9, 10-anthra-quinone synthesized can be used as light sensitive components of photochromic materials for the modern optical recording and information processing.
Full Text
Фотоактивные органические соединения находят все более широкое применение в таких важных областях науки и техники, как оптическая запись и обработка информации, фотография, голография, лазерная техника, а также в биологических и биохимических исследованиях [1, 3, 5].
Фотохромные процессы необычайно интересны как возможностью решения фундаментальной проблемы «структура – свойства», так и возможностью создания на их основе различных устройств и материалов, обратимо меняющих свойства под воздействием света. На основе фотохромных композиций производят линзы для солнцезащитных очков, красители для денежных знаков, оптические метки. Большое внимание уделяется разработке современных оптических устройств записи, воспроизведения и хранения информации, созданию новых лекарственных препаратов с фотоуправляемой фармакологической активностью, а также нелинейных оптических устройств [6, 10, 11].
На сегодняшний день открыто и описано множество фотохромных соединений или систем примерно из пятидесяти классов веществ. Однако на практике используются только несколько фотохромных сред ввиду высоких требований к эксплуатационным характеристикам. Так, для создания реверсивной оптической памяти органические фотохромные соединения наряду с высоким квантовым выходом фотопревращений (светочувствительность) должны обладать значительным спектральным различием полос поглощения исходной и фотоиндуцированной форм (контрастность), иметь высокую цикличность «запись – стирание» и иметь достаточную термическую стабильность фотоиндуцированной формы. В связи с этим поиск новых фотохромных соединений, создание материалов на их основе и изучение свойств этих материалов является актуальной задачей современной прикладной химии.
Производные хинонов традиционно применяются в различных областях науки и техники в качестве красителей, пигментов, люминофоров, катализаторов, биологически активных и лекарственных препаратов [7, 8, 13]. Несмотря на то, что светочувствительные производные хинонов стали известны сравнительно недавно, они уже широко используются при создании новых фотохромных и фоторезистивных материалов для современных средств оптической записи и обработки информации [1].
Ранее нами было проведено изучение фотохромных свойств ряда производных 1-арилокси-9,10-антрахинона и установлена зависимость эксплуатационных характеристик от структуры хинона [9]. Целью представленной работы является синтез новых фотохромных 2- и 4-аминопроизводных антрахинона и сравнительное изучение их свойств в растворах и полимерных слоях.
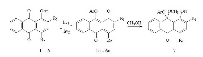
Фотохромизм 1-арилоксипроизводных антрахинона обусловлен происходящей под действием света обратимой внутримолекулярной перегруппировкой, в ходе которой арильная группа перемещается к пери-расположенному атому кислорода, что приводит к перестройке связей в молекуле антрахинона и значительному изменению электронных спектров поглощения (ЭСП) [1].
Для получения фотохромных 1-арилокси-2- и 4-амино-9,10-антрахинонов были проведены реакции ацилирования по аминогруппе [12]. После кипячения аминопроизводных в толуоле с хлористым бензоилом, пентафторбензоилхлоридом, а также с цианурхлоридом (2,4,6-трихлор-1,3,5-триазин) и хроматографической очистки с высоким выходом были выделены целевые продукты 1-6.
Схема 1
Структуры всех полученных соединений были подтверждены данными элементного анализа, масс-спектрометрии, ИК- и ЯМР 1Н – спектроскопии.
Для установления эксплуатационных характеристик синтезированных производных антрахинона 1-6 нами было проведено сравнительное изучение фотохимических свойств их растворов в органических растворителях и полимерных слоях.
Растворы всех синтезированных соединений подвергались действию УФ-света (l=280-400 нм, светофильтр УФС-1) с одновременным измерением электронных спектров поглощения (ЭСП) через определенные промежутки времени до получения максимальной оптической плотности фотоиндуцированной формы (фотостационарное состояние). Результаты спектрофотометрических измерений приведены на рисунке 1.
Рисунок 1 – ЭСП соединения 1 в толуоле (С = 1 10-4 моль/л) до и после облучения в течение 5 мин
Проведенные исследования показали, что растворы всех полученных производных антрахинона 1-6 при облучении изменяют цвет от светло-желтого до красно-фиолетового с сохранением всех изобестических точек (рисунок 1).
Таблица 1. ЭСП соединений 1–6 в толуоле до и после облучения
№ | R | λmax, исх (нм) | λmax, фф (нм) | ∆λmax, (нм) | Dфф/Dисх |
1 | 2-NH-COC6H5 | 373 | 576 | 203 | 1,20 |
2 | 2-NH-COC6F5 | 369 | 541 | 172 | 1,35 |
3 | 2-NH-C3N3Cl3 | 373 | 548 | 175 | 1,11 |
4 | 4-NH-COC6H5 | 445 | 541 | 96 | 1,75 |
5 | 4-NH-COC6F5 | 420 | 520 | 100 | 1,18 |
6 | 4-NH-C3N3Cl3 | 440 | 535 | 95 | 0,50 |
Из данных таблицы 1 следует, что электронный характер заместителя влияет на положение максимума поглощения как исходного фотохромного соединения, так и его фотоформы (ФФ). Введение акцепторных атомов фтора в ароматическое кольцо бензоильной группировки сдвигает максимум поглощения в коротковолновую область. Наилучшим цветовым контрастом обладают 2-ациламинопроизводные 1-3, а для 4-ациламинопроизводных он значительно меньше.
Для сравнения светочувствительности полученных соединений была измерена скорость их фотоизомеризации. Для этого регистрировали изменение оптической плотности толуольных растворов соединений 1-6 через определенные промежутки времени до достижения максимального значения оптической плотности. Полученные зависимости представлены на рисунке 2.
Рисунок 2 – Изменение оптической плотности растворов 1-6 в толуоле при облучении УФ светом
Светочувствительность (скорость достижения фотостационарного состояния) оказалась выше у соединений 1-3.
Важной характеристикой фотохромных соединений является скорость обратной фотоизомеризации из ана- в пара-хинон, т. е. фактически «стирания» записанного изображения. Изучение данного процесса проводилось облучением толуольных растворов соединений 1а-6а видимым светом через светофильтр ЗС-10 (λ=500-600 нм). Оказалось, что обратная фотоизомеризация в исходные соединения 1-6 проходит гораздо медленнее (примерно в 10 раз), чем прямая реакция фотоокрашивания образца.
Для практического применения фотохромных материалов важна устойчивость фотоформы при ее хранении. Гибель фотоформы, как правило, обусловлена наличием влаги в воздухе и растворителе. Для оценки относительной устойчивости ана-хинонов 1а-6а по отношению к нуклеофильным агентам мы измерили кинетику деструкции этих соединений. В качестве модельной была выбрана реакция с метанолом.
Взаимодействие ана-хинонов с метанолом включает две стадии. Первая стадия – нуклеофильное 1,4-присоединение молекулы спирта подобно тому, как это происходит в случае a,b-ненасыщенных карбонильных соединений. Второй стадией является нуклеофильное замещение арилоксигруппы в положении 9 на алкоксигруппу [2, 4].
Схема 2
Соединения 1а-6а были получены фотохимически при облучении соответствующих производных 1-арилокси-9,10-антрахинона (С ~ 10-4 моль/л) в толуоле с последующей добавкой метанола (10-3–10-1 моль/л). Образующиеся при фотолизе ана-хиноны вступают в реакцию с метанолом с образованием соединений, имеющих интенсивную полосу поглощения в ближней УФ-области (λmax~350–390 нм).
Реакция со спиртом всех исследованных фотоиндуцированных ана-хинонов 1а-6а проходит с образованием слабоокрашенных аддуктов 7, причем скорость реакции зависит от положения и характера заместителя в ацильном остатке. На рисунке 3 представлены результаты измерения скорости реакции соединения 5а со спиртами.
Рисунок 3 – Изменение оптической плотности раствора5а в толуоле при добавлении метанола (1) и этанола (2)
Измерение констант скорости реакций проводили при значительном избытке метанола, поэтому кинетические кривые описывали уравнениями реакций псевдопервого порядка [14].
Таблица 2. Константы скорости реакции с метанолом
Соединение | 1а | 2а | 4а | 5а |
k∙103 л/моль∙с | 40 | 320 | 0.4 | 10.6 |
Из данных, приведенных в таблице 2, следует, что для фторированных производных константа скорости реакции с метанолом возрастает на порядок. Важно отметить, что 4-ациламинопроизводные 1,10-антрахинона гораздо устойчивее к действию нуклеофильных агентов, т. е. обладают достаточно стабильной фотоформой.
Для того чтобы оценить возможность практического использования полученных производных 1-арилокси-9,10-антрахинона в качестве светочувствительной компоненты фотохромных материалов (ФХМ), представляло интерес исследовать их в тонких слоях полимерной матрицы в виде реальных ФХМ и изучить их фотографические характеристики. Основное достоинство ФХМ – возможность получения изображения в момент экспонирования без какой-либо химической обработки, а также возможность стирания старого и записи нового изображения.
В качестве светочувствительной компоненты ФХМ использовали производные 1 и 6. Фотохромные материалы получали нанесением (полив) на подложку (стекло, пленка) слоя светочувствительной композиции, состоящей из раствора смеси полимера (поливинилацетат) и фотохромного соединения (ФХС). После удаления растворителя светочувствительный слой представлял собой слой полимера, в котором молекулярно диспергировано ФХС (5 % к массе полимера). Облучение проводили как нефильтрованным, так и фильтрованным светом лампы СВД-120А до достижения максимальной оптической плотности.
Одной из важнейших характеристик ФХМ является длительность хранения изображения, т. е. скорость темновой деструкции ФФ.
Стабильность экспонированных ФХМ существенным образом зависит от предварительной термической обработки. Показано, что с прогревом ФХМ устойчивость ФИФ значительно возрастает. Оптимальным является прогрев при 150°С в течение 1 часа. Роль термической обработки заключается в задубливании фотослоя, в результате чего снижается его влаго- и газопроницаемость.
Для количественной оценки термической стабильности фотоиндуцированной формы, предварительно засвеченные исследуемые ФХМ, были разделены на четыре группы: первая группа ФХМ хранилась в закрытом от света контейнере на воздухе, а вторая – в эксикаторе. Третья и четвертая группы пластинок были подвергнуты термической обработке при 150ºС, а затем третья часть пластинок хранилась на воздухе, а четвертая – в эксикаторе. Изменение оптической плотности полимерного слоя ФХМ контролировали спектрофотометрически. На рисунке 4 представлены результаты измерения скорости темновой деструкции фотоформы в ПВА.
Рисунок 4 – Кинетика темновой деструкции 5а в ПВА (a), в ПС (b) 1 – воздух, прогрев 150°C; 2 – эксикатор, прогрев 150°C;3 – воздух, без прогрева; 4 – эксикатор, без прогрева
Приведенные на рисунке 4 кинетические данные показывают, что при хранении фотохромных пластинок на воздухе уже через пять часов наблюдается уменьшение оптической плотности фотоформы более чем в два раза. Хранение этих же пластинок в эксикаторе позволяет увеличить это время до двадцати часов. Термически обработанные ФХМ могут сохранять записанную информацию достаточно продолжительное время без заметной потери чувствительности, причем, как показывают кинетические кривые на рисунке 4, хранение в эксикаторе не обязательно.
Важно, что термическая обработка не оказывает влияния на фотографические характеристики ФХМ, такие как чувствительность и коэффициент контрастности. Характеристические кривые непрогретых и термически задубленных слоев совпадают. Термическая обработка положительно сказывается на цикличности и максимально достигаемой оптической плотности.
Число циклов определяли экспонированием полимерного слоя светом с λ= 365 нм до оптической плотности фотоформы ~ 1,0 с последующим проведением обратной реакции, при облучении видимым светом с λ = 530 нм до исходной плотности фотоформы.
Рисунок 5 – Исследование термической стабильности соединения 1 в ПС
Как показано на рисунке 5, для соединения 1 в ПС может быть проведено не менее 50 циклов «запись-стирание» без потери чувствительности более чем вдвое.
Таким образом, в результате проделанной работы были получены новые производные 1-п-трет-бутилфенокси-9,10-антрахинона с различными по электронной природе заместителями в положении 2 и 4 антрахинонового ядра. Все синтезированные производные исследовались как потенциальные фотохромные соединения. Установлена прямая зависимость их фотохимических характеристик от химической структуры. Оказалось, что 2-аминопроизводные обладают большей контрастностью цветоперехода, а 4-аминопроизводные – большей стабильностью фотоформы. Скорость темновой деструкции фотоформы удалось существенно понизить при термической обработке фотохромных материалов, приготовленных с использованием разных полимерных связующих (ПВА и ПС).
Проведенные исследования показали, что полученные фотохромные материалы на основе 2-аминопроизводных 1-арилокси-9,10-антрахинона обладают эксплуатационными характеристиками, пригодными для их практического использования: высокой светочувствительностью, хорошим цветовым контрастом, малой скоростью темновой деструкции, что обеспечивает длительное хранение изображения без дополнительной химической обработки. Они могут быть использованы в качестве светочувствительных компонент фотохромных материалов для современных средств оптической регистрации и обработки информации.
Экспериментальная часть
Электронные спектры поглощения измеряли на спектрофотометре «Lambda 35 UV/VIS» фирмы Perkin Elmer, сопряженном с ПК. Для записи спектров использовали кварцевые кюветы с длиной оптического пути l = 1 см. ИК-спектры зарегистрированы на спектрофотометре «Spectrum One FT-IR» фирмы Perkin Elmer в таблетках в KBr.
Спектры ЯМР 1H и 13С записаны на приборах Bruker WP-200SY. Для записи спектров использовали растворы в СDCl3 и DMSO-d6. Химические сдвиги (м. д.) приведены в шкале δ, внутренний стандарт – SiMe4.
Масс-спектры (ЭУ) получены на приборе Finnigan MAT-8200 при ионизационном напряжении электронов 70 эВ, температура в камере ионизации – 100–220 °С. Приведены значения m/z для молекулярного иона [M]+.
Хроматографию осуществляли на колонках с силикагелем (L ~ 5–140 мкм) и в тонком слое (ТСХ) на стандартных пластинках Silufol UV-254. Температуры плавления определяли на микронагревательном столике Кофлера.
Элементный анализ соединений выполнен в аналитической лаборатории НИОХ СО РАН.
Фотолиз проводили с использованием света лампы СВД-120А с фильтром УФС-1 (280–400 нм), а также полного спектра ртутной лампы. Линию 550 нм выделяли из спектра ртутной лампы фильтром ЗС-10.
Растворители марки ХЧ и ОСЧ использовали без дополнительной очистки. Колбы для хранения растворов имели хорошо пришлифованные пробки для предотвращения испарения растворителя и попадания влаги из атмосферы.
Получение аминопроизводных (1-6)
Смесь 0.37 г (0.001 моль) 1-(п-трет-бутилфенокси)-2- или 4-амино-9,10-антрахинона и 0.5 мл хлористого бензоила, пентафторбензоила или цианурхлорида в 100 мл толуола кипятили в течение 3–5 ч до исчезновения исходного соединения. Контроль за ходом реакции осуществляли по ТСХ. Реакционную массу упарили на ротационном испарителе до небольшого объема, прилили 30 мл гексана, выпавший осадок отфильтровывали и сушили на воздухе. Продукт хроматографировали на колонке с SiO2, элюент – толуол. Собирали основную светло-желтую зону. Упаривали, остаток перекристаллизовывали из смеси растворителей – этанол-бензол (1:1).
1-(п-трет-бутилфенокси)-2-бензоиламино-9,10-антрахинон (1)
Выход 87 %. Т. пл. 212-213°C. Спектр ПМР (δ, м. д., J/Гц): 1.29 (с, 9Н, С(СН3)3); 6.89 (д, 2H, H-2’,6’, J = 9); 7.34-7.54 (м, 7H, H-3’,5’, ОС6Н5); 7.63 (м, 2H, Н-6,7), 8.23-8.54 (м, 3H, Н-3,5,8); 8.69 (у.с., 1H, NH); 9.05 (д, 1Н, Н-4, J = 8.5). ИК-спектр (КВг, ν, см-1): 3410 (NH); 3070 (=С–Н); 2970 (С–Н); 1675 (С=О); 1595 (С=Саром). Найдено, %: С 78.22; Н 5.17; N 3.03. C31H25NO4. Вычислено, %: С 78.30; Н 5.30; N 2.95. M 475.
1-(п-трет-бутилфенокси)-2-пентафторбензоиламино-9,10-антрахинон (2)
Выход 74 %. Т. пл. 213-214°C. Спектр ПМР (δ, м. д., J/Гц): 1.23 (с, 9Н, С(СН3)3); 6.80 (д, 2H, H-2’,6’, J = 9); 7.28 (д, 2H, H-3’,5’, J = 9); 7.87-7.92 (м, 2Н, Н-6,7); 8.05 (д, 1Н, Н-3, J = 8.5); 8.20-8.38 (м, 2H, Н-5,8); 8.42 (д, 1Н, Н-4, J = 8.5); 10.45 (у.с., 1H, NH). ИК-спектр (КВг, ν, см-1): 3418 (NH); 3070 (=С–Н); 2966 (С–Н); 1704, 1674 (С=О); 1591 (С=Саром); 1202 (С-F). Найдено, %: С 65.81; Н 3.65; F 16.60; N 2.34. C31H20F5NO4. Вычислено, %: С 65.84; Н 3.56; F 16.80; N 2.48. M 565.
1-(п-трет-бутилфенокси)-2-амино-2’,4’,6’-трихлор-1’,3’,5’-триазино-9,10-антрахинон (3)
Спектр ПМР (δ, м. д., J/Гц): 1.22 (с, 9Н, С(СН3)3); 6.80 (д, 2H, H-2’,6’, J = 9); 7.27 (д, 2H, H-3’,5’, J = 9); 7.85 (м, 2H, Н-6,7), 7.99 (м, 1H, Н-5); 8.15 (м, 1H, H-8); 8.21 (д, 1Н, Н-3, J = 8.5); 8.73 (д, 1Н, Н-4, J = 8.5); 10.96 (у.с., 1H, NH). ИК-спектр (КВг, ν, см-1): 3393 (NH); 3090 (С–Наром); 2965 (С–Н); 1674 (С=О); 1591 (С=Саром). Найдено: М+, m/z 518.0905. C27H20O3N4Cl2. Вычислено: М+, m/z 518.0907.
1-(п-трет-бутилфенокси)-4-бензоиламино-9,10-антрахинон (4)
Выход 83 %. Т. пл. 228-229°C. Спектр ПМР (δ, м. д., J/Гц): 1.31 (с, 9Н, С(СН3)3); 6.95 (д, 2H, H-2’,6’, J = 9); 7.27-7.45 (м, 3H, H-2,3’,5’); 7.63-7.76 (м, 5Н, ОС6Н5); 7.85-7.96 (м, 2H, Н-6,7); 8.08-8.35 (м, 2H, Н-5,8); 8.85 (д, 1Н, Н-3, J = 8.5); 11.46 (у.с., 1H, NH). ИК-спектр (КВг, ν, см-1): 3310 (NH); 3063 (=С–Н); 2962 (С–Н); 1684, 1671 (С=О); 1590 (С=Саром). Найдено, %: С 78.13; Н 5.23; N 2.83. C31H25NO4. Вычислено, %: С 78.30; Н 5.30; N 2.95. M 475.
1-(п-трет-бутилфенокси)-4-пентафторбензоиламино-9,10-антрахинон (5)
Выход 80 %. Т. пл. 241-243°C. Спектр ПМР (δ, м. д., J/Гц): 1.29 (с, 9Н, С(СН3)3); 6.90 (д, 2H, H-2’,6’, J = 9); 7.31-7.53 (м, 3H, H-2,3’,5’); 7.87-7.98 (м, 2H, Н-6,7); 8.10-8.28 (м, 2H, Н-5,8); 8.92 (д, 1Н, Н-3, J = 8.5); 12.46 (у.с., 1H, NH). ИК-спектр (КВг, ν, см-1): 3408 (NH); 3074 (=С–Н); 2868, 2965 (С–Н); 1694, 1667 (С=О); 1593 (С=Саром); 1221 (С-F). Найдено, %: С 65.68; Н 3.48; F 16.67; N 2.53. C31H20F5NO4. Вычислено, %: С 65.84; Н 3.56; F 16.80; N 2.48. M 565.
Методика изготовления фотохромных материалов на основе синтезированных производных антрахинона
Фотохромные материалы (ФХМ) готовили путем нанесения на жесткую подложку композиции, представляющей раствор фотохромного соединения (ФХС) в полимерном связующем.
В качестве подложки использовали тонкие стеклянные пластинки, в качестве полимерного связующего – поливинилацетат (ПВА) бисерный (10 % в смеси растворителей – ацетон : толуол : хлорбензол в соотношении 1 : 2 : 1) и полистирол (20 % в толуоле). Концентрация ФХС по отношению к полимеру – 5 %.
Перед нанесением светочувствительного слоя стеклянную подложку обрабатывали хромовой смесью, затем после тщательной промывки дистиллированной водой сушили при 100°С в течение часа. Нанесение светочувствительной композиции на подложку осуществляли путем медленного полива в центр горизонтально-расположенной стеклянной пластинки. Затем пластинку в горизонтальном состоянии сушили в темноте при комнатной температуре в течение 2 суток. Прогрев пластинок при температуре 100 и 150°С проводили в сушильном шкафу.
About the authors
Vasilii A. Litvinov
Yugra State University
Author for correspondence.
Email: chemist.yugu@gmail.com
Master of Chemistry, Postgraduate student of the Department of Chemistry, Institute of Nature Management
Russian Federation, 16, Chehova street, Khanty-Mansiysk, 628012Lyubov S. Klimenko
Yugra State University
Email: l_klimenko@ugrasu.ru
Doctor of Сhemical Sciences, Professor of the Department of Chemistry, Institute of Nature Management
Russian Federation, 16, Chehova street, Khanty-Mansiysk, 628012References
- Barachevsky, V. A. Photochromic quinones in Organic photochromic and termochromic compounds [Text] / V. A. Barachevsky // Eds. Crano J. C., Guglielmetti R. – Plenum Press. New York. – 1999. – Vol. 1. – Pp. 267–314.
- Experimental and quantum chemical study of the reactions of 1,10-anthraquinones with alcohols and amines [Text] / N. P. Gritsan, L. S. Klimenko, Z. V. Leonenko, at al // Tetrahedron. – 1995. – Vol. 51, № 10. – Pp. 3061–3076.
- Irie, M. Photochromism: Memories and Switches – Introduction [Text] / M. Irie // Chem. Rev. – 2000. – Vol. 100, № 5. – P. 1683.
- Klimenko, L. S. Reactions of photoinduced 9-aryloxy-1,10-anthraquinones [Text] / L. S. Klimenko, Z. V. Leonenko, N. P. Gritsan // Mol. Cryst. Liq. Cryst. – 1997. – Vol. 297. – P. 181–188.
- Барачевский, В. А. Фотохромизм и его применение. Химия [Текст] / В. А. Барачевский, Г. И. Лашков, В. А. Цехомский. – М., 1977. – 280 c.
- Бетхер, Х. Современные системы регистрации информации. Основные принципы, процессы, материалы [Текст] / Х. Бетхер, И. Эпперляйн, А. В. Ельцов. – СПб. : Синтез. – 1992. – 328 c.
- Горелик, М. В. Химия антрахинонов и их применение [Текст] / М. В. Горелик. – М. : Химия, 1983. – 296 с.
- Горностаев, Л. М. Избранные главы химии хинонов и хиноидных соединений [Текст] / Л. М. Горностаев ; Краснояр. гос. пед. ун-т им. В. П. Астафьева. – Красноярск, 2013. – 156 с.
- Клименко, Л. С. Сравнительное изучение фотохромных свойств 2-ациламинопроизводных 1-арилоксиантрахинонов в растворах и полимерных слоях [Текст] / Л. С. Клименко, Д. С. Корнеев, В. А. Литвинов // Вестник Югорского государственного университета. – 2015. – № 3 (38). – С. 22–29.
- Минкин, В. И. Бистабильные органические, металлоорганические и координационные соединения для молекулярной электроники и спинтроники [Текст] / В. И. Минкин. – 2008. – № 4. – С. 673–703.
- Органические фотохромы. Химия [Текст] / Под ред. А. В. Ельцова. – Л.,1982. – 285 c.
- Титце, Л. Препаративная органическая химия [Текст] / Л. Титце, Т. Айхер. – М. : Мир, 2004. – 704 с.
- Файн, В. Я. 9,10-Антрахиноны и их применение [Текст] / В. Я. Файн. – М., 1999. – 92 с.
- Экспериментальные методы химии высоких энергий [Текст] : учебное пособие / Под общ. ред. М. Я. Мельникова. – М. : Изд-во МГУ, 2009. – 824 с.
Supplementary files









