Computer molecular-dynamic simulation of shs microkinetics in the atomic structure with a checkerboard-like arrangement of nanoscale blocks of Ni and Al atoms
- Authors: Jordan V.I.1,2, Shmakov I.A.1
-
Affiliations:
- Altai State University
- Khristianovich Institute of Theoretical and Applied Mechanics, SB RAS
- Issue: Vol 16, No 2 (2020)
- Pages: 71-77
- Section: New materials and technology
- Published: 09.05.2020
- URL: https://vestnikugrasu.org/byusu/article/view/46628
- DOI: https://doi.org/10.17816/byusu2020271-77
- ID: 46628
Cite item
Full Text
Abstract
The article presents the results of computer simulation of the propagation of the combustion wave of "self-propagating high-temperature synthesis (SHS)" process in an atomic layered structure. In each layer of the structure, nanosized blocks of two types alternate: a block of the first type is composed as a packet of unit cells of Ni atoms, and a block of the second type is composed of a packet of elementary cells of Al atoms. In each pair of layers adjacent to each other, sequences of alternating blocks of two types are shifted relative to each other by one block, so the full layered structure of the layers with alternating blocks in them is associated with a “chessboard” pattern. Computer simulation of SHS in such a structure was carried out using the LAMMPS software package taking into account parallel computations, which uses the molecular dynamics method and the interatomic interaction potential in the “embedded atom" model (EAM). In addition to the LAMMPS package, the authors implemented program procedures for calculating the temperature and density profiles of the substance along the motion direction of the SHS combustion wave front, which made it possible to carry out temperature analysis of the SHS microkinetics (to estimate the velocity of the combustion wave front) and recognition of intermetallic phases in the reaction volume of the Ni-Al system when using the OVITO package.
Full Text
Введение
Одной из эффективных технологий получения современных функциональных материалов с «программируемыми» свойствами является технология, связанная с методом «самораспространяющегося высокотемпературного синтеза (СВС)». В прессованном образце в виде реагирующей смеси мелкодисперсных порошков под воздействием теплового импульса происходит экзотермическая реакция горения в тонком слое взаимодействующих реагентов. С течением времени волна горения самопроизвольно распространяется по образцу путем теплопередачи от слоя к слою. При этом образуются продукты СВС с разнообразием микро-, мезо- и макроструктур различного масштаба гетерогенности, зависящего от многих параметров: дисперсности реагентов, их стехиометрического начального соотношения, начальной температуры и пористости смеси, степени разбавления, тепловых потерь и других факторов. На устойчивость движения фронта волны горения влияет неоднородное случайное распределение исходных реагентов в структуре порошковой смеси. Микрогетерогенная структуры волны горения (наличие в структуре «микроочагов» горения – «проблема дискретности» СВС) оказывает существенное влияние на поведение волны горения на макроскопическом уровне. Исследование кинетики горения и эволюции дискретного распада тепловой структуры волны СВС в локально неустойчивых режимах микрогетерогенного горения играет важную роль для оптимизации технологических режимов СВ-синтеза материалов с заданными функциональными и эксплуатационными свойствами и для разработки 3D-принтеров готовых изделий из металла и металлокерамики в области аддитивных технологий.
1. Методические аспекты молекулярно-динамического моделирования СВС
В методе молекулярно-динамического моделирования (МДМ) временная эволюция исследуемой атомной системы реализуется на основе дискретно-континуального подхода моделирования с использованием основ ньютоновской механики и функции потенциала межатомного взаимодействия в модели «погруженного атома» (англ. embedded atom model – EAM), скорректированной в 2009 году [1]. Процесс эволюции моделируется интегрированием уравнений движения атомов на основе простого потенциального взаимодействия с постоянным временным шагом. Несмотря на детерминированный характер механики Ньютона, близость результатов моделирования к реальному поведению системы достигается добавлением распределения случайных начальных скоростей в соответствии с распределением Максвелла в модель хаотического термодинамического движения. Таким образом, можно получить данные о макроскопических характеристиках объекта. Преимущества молекулярно-динамического моделирования (МДМ) с использованием пакета LAMMPS и параллельных вычислений можно использовать для определения нано- и микроскопических структур материалов с целью поиска способов их синтеза.
В работе [2] приведены результаты вычислительных экспериментов (ВЭ) по молекулярно-динамическому моделированию (МДМ) режима микрогетерогенного горения в слоистой системе Ni-Al (рис. 1).
Рисунок 1 – Схематичное представление исходной слоистой структуры смеси Ni-Al
В исходной слоистой структуре Ni-Al (рис. 1) каждый «крупный» слой структуры состоит из нескольких атомных плоскостей, образующих кристаллическую структуру (решетку) из элементарных кристаллических ячеек типа ГЦК (англ. fcc) с параметрами: для Ni параметр a=0.3524 нм, a=0.405 нм для Al [1; 3]. Отношение числа атомов равно NNi/NAl=3.94, т. е. доля атомов Ni равна n=0.7975 (79.75 %). Начальная температура образца (рис. 1) принята равной 600 К, и при этой температуре производилась «релаксация» всей структуры в течение 0.4 нс с фиксированными термодинамическими параметрами: число атомов в структуре N=717410, внешнее давление P=1 Бар и температура Т=600 К (NPT-ансамбль). На этом этапе моделирования устанавливались по всем 3-м измерениям периодические граничные условия. Периодические граничные условия сохраняются для всего образца и на следующем этапе, на котором в течение 0.1 нс осуществлялся прогрев от 600 до 1200 К в начальной зоне образца в пределах 50 нм (рис. 1) в условиях NVT-ансамбля (V – объем зоны прогрева постоянный), а в остальном объеме на это время устанавливались условия NVE-ансамбля (E – суммарная энергия атомов). Далее в структуре развивается процесс СВС (для всей структуры сохранялись условия NVE-ансамбля), вдоль оси X накладываются «свободные» граничные условия, а вдоль осей Y и Z остаются периодические условия.
В данной статье приведены результаты ВЭ с использованием модели потенциала EAM 2009 года для изучения микрогетерогенного горения процесса СВС в модельной «слоистой» атомной структуре с шахматноподобным расположением наноразмерных блоков из атомов Ni и AL (рис. 2).
Рисунок 2 – Схематичное представление шахматноподобной структуры Ni-Al
Состав компонентов в ней соответствует стехиометрическому соотношению NNi/NAl=2.164, т. е. доля атомов Ni равна n=0.68574 (68.574 %) и общее число атомов в такой структуре N=1450915 (из них: 992340 атомов Ni и 458575 атомов Al). Начальная температура прогрева всей структуры 800 К, а прогрев в начальной зоне – от 800 до 1400 К. В остальном методические условия и этапы моделирования аналогичны условиям проведения ВЭ для структуры, соответствующей рисунку 1.
2. Анализ результатов моделирования СВС в системе с шахматноподобной структурой (ШПС) наноразмерных блоков из атомов Ni и Al
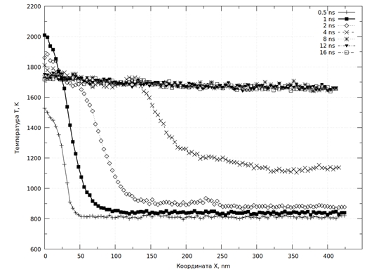
Анализируя набор температурных профилей (рис. 3), оценивая перемещение фронта волны горения и соответствующее ему время, получаем значение скорости движения волны горения в шахматноподобной структуре (рис. 2), приблизительно равное 48-50 м/c. В работе [2] для слоистой структуры, показанной на рисунке 1, получена оценка скорости, равная 25 м/c (практически в 2 раза меньшая). Практически 2-кратное превосходство в скорости движения волны горения можно объяснить более высоким значением удельной поверхности контакта атомов Ni и Al в шахматноподобной блочной структуре по сравнению с удельной поверхностью контакта, соответствующей слоистой структуре на рисунке 1. В реальных порошковых смесях с размерами частиц Ni и Al в диапазоне 10-50 мкм значение скорости горения оказывается в диапазоне приблизительно от 1 до 20 см/с (т. е. на 2-3 порядка меньше). В реальных порошковых смесях удельная поверхность контакта частиц Ni и Al соответственно также на 2-3 порядка меньше. Реальные эксперименты по СВС в тонких пленках (англ. nanofoils [4]) показывают высокие скорости горения (до нескольких м/с), подтверждая результаты МДМ для процесса СВС.
Рисунок 3 – Набор температурных профилей (зависимостей температуры от координаты Х) для последовательных моментов времени в ШПС Ni-Al
Как видно из рисунка 3, в зонах шахматноподобной структуры Ni-Al после прохождения волны горения (к концу 16 нс) устанавливается температурное плато с малым снижением от значений 1700-1720 К в начале структуры до значений в диапазоне 1640-1670 К в конце структуры. Завершение процесса растворения твердой фазы Ni в жидком Al после 7 нс подтверждается рисунком 4, с помощью которого также подтверждается скорость волны горения в 50 м/с.
Рисунок 4 – Набор шлифов (снимков), визуализируемых с помощью пакета OVITO для последовательных моментов времени движения волны горения, отражающих эволюцию распределения атомов Ni (светло-серые точки) и Al (темно-серые точки) в вертикальном сечении ШПС Ni-Al
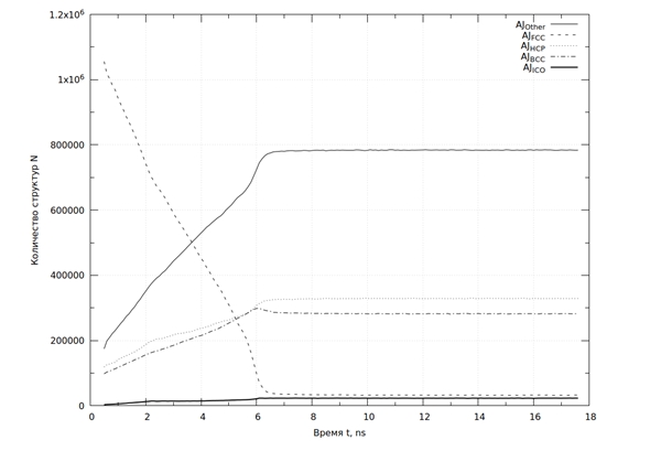
В соответствии с диаграммой равновесного состояния системы Ni-Al для заданного стехиометрического соотношения с концентрацией (ат. %) атомов Ni, равной n=0.68574 (68.574 %), и температуры горения порядка 1640-1720 К образуются две фазы [5; 6]: δ-фаза NiAl и ε-фаза Ni3Al. Как уже отмечалось выше, к моменту времени 16 нс во второй половине ШПС температурное плато снижается к диапазону 1640-1670 К (рис. 3), в котором находится точка плавления ε-фазы Ni3Al (температура плавления фазы Ni3Al равна 1380-1385 0С, или 1653-1658 К), при распаде которой дополнительно образуется δ-фаза NiAl с ОЦК-структурой элементарной ячейки (англ. bcc). Фаза Ni3Al имеет сверхструктуру ГЦК (англ. fcc). Рост количества структур типа bcc (ОЦК), соответствующих δ-фазе NiAl, подтверждается на рисунке 5.
Рисунок 5 – Зависимости количеств структур различных типов в последовательные моменты времени в процессе движения волны горения в ШПС Ni-Al; типы структур, определяемые методом Ackland-Jones (модификатором AJ пакета OVITO, [7; 8]): fcc – ГЦК, bcc – ОЦК, hcp – ГПУ, ico – икосаэдр, other – другие)
Наноразмерные блоки из атомов Ni и AL в исходной ШПС (рис. 2) являются пакетами из элементарных кристаллических ячеек одного и того же типа fcc (ГЦК), которые по мере продвижения волны горения трансформируются в продукты реакции СВС в виде интерметаллических соединений (NiAl3, Ni2Al3, NiAl, Ni3Al и др.). Поэтому в промежутке первых 2 нс (на рисунке 5) наблюдается резкое снижение количества структур типа fcc (ГЦК), а затем «темп» резкого снижения структур типа fcc (ГЦК) немного замедляется, так как наряду с интенсивным ростом δ-фазы NiAl происходит и рост ε-фазы Ni3Al, имеющий тип fcc (хотя и в меньшей степени, чем для фазы NiAl). Фаза Ni3Al соответствует типу сверхструктуры ГЦК (fcc), поэтому модификатор AJ пакета OVITO не гарантирует абсолютно точное определение количества структур для фазы Ni3Al (а также и других структур для других интерметаллидов). Возможно, некоторое количество структур фазы Ni3Al программа OVITO относит к типу hcp (ГПУ) или к типу «other» (другой, иной).
На рисунке 6 приведены профили плотности вещества, рассчитанные с помощью разработанной авторами программы на основе усреднения значения плотности по малым объемам в последовательные моменты времени движения волны горения вдоль ШПС. Анализ профилей плотности вещества, отраженных на рисунке 6, является еще одним способом подтверждения схемы металлохимических реакций с образованием интерметаллических фаз, принятой многими авторами публикаций, в т. ч. и авторами публикации [5]:
Ni + 3Al → NiAl3, Ni + NiAl3 → Ni2Al3, Ni + Ni2Al3 → 3NiAl.
Рисунок 6 – Набор профилей плотности вещества в последовательные моменты времени в процессе движения волны горения в ШПС Ni-Al
Первая фаза NiAl3, образующаяся в приведенной цепочке реакций (при достижении температуры 854 0С, или 1127 К), имеет наименьшую плотность 3.9 г/см3 [9]. Вторая фаза Ni2Al3, образующаяся во времени позднее первой фазы при повышении температуры горения с более высоким значением 1132-1133 0С, или 1405-1406 К, имеет плотность 4.76 г/см3 [9]. Третья фаза NiAl, образующаяся во времени еще позднее при дальнейшем росте температуры горения, имеет более высокое значение плотности 5.9–6.02 г/см3 [9]. Исходная ШПС Ni-Al имеет значение плотности 6.22 г/см3 (на рисунке 6 для начальных времен 0.5 ns и 1 ns и координат второй половины ШПС символы «+» и «х» соответствуют значению 6.22 г/см3). Анализируя профили, помеченные различными символами на рисунке 6, видно, что с увеличением времени, переходя от одного профиля к другому, средние уровни профилей постепенно «поднимаются», т. е. с течением времени в повышение уровней профилей плотности все больший вклад дают последовательно образующиеся фазы с увеличивающимся значением плотности, а именно: NiAl3, Ni2Al3, NiAl и Ni3Al. Значение плотности для фазы Ni3Al равно 7.29–7.5 г/см3 [9; 10].
Заключение
Вычислительные эксперименты МДМ показали, что скорость реакции СВС в шахматноподобной блочной структуре Ni-Al (рис. 2) в два раза выше, чем в соответствующей ей слоистой системе (рис. 1) в силу того, что удельная поверхность контакта атомов Ni и Al в ШПС больше, чем в слоистой системе (рис. 1). Разработанные авторами программные процедуры расчета температурных профилей и профилей плотности вещества позволяют более точно осуществлять температурный анализ микрокинетики СВС, уточнять схему (цепочку) металлохимических реакций СВС и распознавать образующиеся интерметаллические фазы в процессе СВС.
About the authors
Vladimir I. Jordan
Altai State University; Khristianovich Institute of Theoretical and Applied Mechanics, SB RAS
Author for correspondence.
Email: jordan@phys.asu.ru
Аssociate Professor of the Department of Computer Engineering and Electronics; Leading Mathematician of Laboratory No. 6
Russian Federation, 61, Lenina avenue, Barnaul, 656049; 4/1, Institutskaya street, Novosibirsk, 630090Igor A. Shmakov
Altai State University
Email: ihammers.sia@gmail.com
Senior Lecturer of the Department of Computer Engineering and Electronics
Russian Federation, 61, Lenina avenue, Barnaul, 656049References
- Purja Pun, G. P. Development of an interatomic potential for the Ni-Al system / G. P. Purja Pun, Y. Mishin // Philosophical Magazine. – 2009. – Vol. 89, № 34. – P. 3245-3267.
- Шмаков, И. А. Компьютерное моделирование СВ-синтеза алюминида никеля методом молекулярной динамики в пакете LAMMPS с использованием параллельных вычисле-ний / И. А. Шмаков, В. И. Иордан, И. Е. Соколова. – Текст : непосредственный // Высо-копроизводительные вычислительные системы и технологии. – 2018. – № 1 (8). – С. 48–54.
- Mishin, Y. Embedded-atom potential for B2-NiAl / Y. Mishin, M. J. Mehl, D. A. Papaconstan-topoulos // Physical Review B. – 2002. – Vol. 65. – P. 224114.
- Turlo, V. Microstructure evolution and self-propagating reactions in Ni-Al nanofoils: an atomic-scale description / V. Turlo, O. Politano, F. Baras // Journal of alloys and compounds. – 2017. – Vol. 708. – P. 989–998.
- Ковалев, О. Б. Металлохимический анализ реакционного взаимодействия в смеси по-рошков никеля и алюминия / О. Б. Ковалев, В. А. Неронов. – Текст : непосредственный // Физика горения и взрыва. – 2004. – T. 40, № 2. – С. 52–60.
- Ковалев, О. Б. Математическое моделирование металлохимических реакций в двухком-понентной реагирующей дисперсной смеси / О. Б. Ковалев, В. В. Беляев. – Текст : непо-средственный // Физика горения и взрыва. – 2013. – T. 49, № 5. – С. 64–76.
- Stukowski, A. Visualization and analysis of atomistic simulation data with OVITO – the Open Visualization Tool / A. Stukowski // Modelling and Simulаtion in Materials Science and Engi-neering. – 2010. – Vol. 18. – P. 015012.
- Ackland, G. J. Applications of local crystal structure measures in experiment and simulation / G. J. Ackland, A. P. Jones // Physical Review B. – 2006. – Vol. 73 (5). – P. 054104.
- Справочник химика : в 7 томах / редколлегия: Б. П. Никольский [и др.]. – 2-е издание, исправленное. – Москва ; Ленинград : Химия, 1966. – Т. 1. – 1072 с. – Текст : непосред-ственный.
- Каблов, Е. Н. Литейные конструкционные сплавы на основе алюминида никеля / Е. Н. Каблов, О. Г. Оспенникова, О. А. Базылева. – Текст : непосредственный // Двигатель. – 2010. – № 4 (70). – С. 22–24.
Supplementary files















