SH-synthesis of alumino-manganese alloy based on the Al-MnO3 system
- Authors: Boronenko M.P.1, Milyukova I.V.1, Cheklov S.A.1
-
Affiliations:
- Yugra State University
- Issue: Vol 16, No 2 (2020)
- Pages: 57-65
- Section: New materials and technology
- Published: 09.05.2020
- URL: https://vestnikugrasu.org/byusu/article/view/46625
- DOI: https://doi.org/10.17816/byusu2020257-65
- ID: 46625
Cite item
Full Text
Abstract
The work is devoted to the use of self-propagating high-temperature synthesis for producing aluminum-manganese alloy in the MnО3 – AI system. The experiment was carried out in a specially designed SHS reactor at various pressures with and without preliminary heating. The synthesized samples were studied by X-ray diffraction, metallographic, and X-ray spectral analysis; compression tests were performed. X-ray powder diffraction data showed the presence of intermetallic compounds of different stoichiometries: Al8Mn5, Al11Mn4, and Al6Mn. It was established that the main phase is the Al8Mn5 intermetallic compound. The structure of the sample has a needle structure. The alloy has a high hardness of structural components: from 624 HV to 934 HV.
High compressive strength and high hardness are evidence that the synthesized alloy is a direct competitor to hard alloys.
Full Text
Введение
В настоящее время ощущается большая необходимость в материалах с одной стороны достаточно прочных и легких [1], а с другой – стоящих значительно дешевле титана или углепластика, активно применяемых как в авиационной и автомобильной индустрии, так и в бытовой технике и портативной электронике [2; 3].
Алюмо-марганцевые сплавы имеют высокую прочность, пластичность и технологичность, большие показатели коррозионной стойкости и хорошую свариваемость [4]. В работе предпринята попытка получить перспективный алюмо-марганцевый сплав, используя эффективную и недорогую технологию СВ-синтеза.
Цель работы – методом СВ-синтеза получить сплав Al-Mn, схожий по характеристикам с твердым сплавом серии 3003 на основе алюминия и никеля.
Методика исследования
Во время работы проведена серия экспериментов в реакторе Р-4 по получению целевого продукта при разных давлениях кислорода внутри реактора – 6 и 9 атмосфер [5–7]. Реактор представляет собой стальную герметичную камеру, куда может закачиваться не только воздух, но и реакционная среда. Давление отслеживается манометром. Внутрь камеры помещен вольфрамовый электрод, связанный с источником питания, на который подается импульс тока для поджига шихты для инициации реакции СВ-синтеза. Целью экспериментов являлось получение алюминиево-марганцевого сплава, приближенного по физико-техническим характеристикам к известному сплаву 3003.
Для решения этой задачи было предложено провести синтез из порошковых материалов системы Al-MnO3. Метод СВС предполагает, что химические реакции между компонентами должны проходить с выделением тепла для осуществления самоподдерживающегося процесса [8; 9; 10]. Предварительно был проведен расчет энтальпии реакции восстановления алюминием марганца из окислов по известной методике [11].
В основе термохимических расчетов лежит следствие закона Гесса: энтальпия (тепловой эффект) реакции равна сумме энтальпий образования продуктов реакции за вычетом суммы энтальпий образования исходных веществ.
Табличные значения для расчета реакции приведены в таблице 1.
Таблица 1 – Значения энтальпии компонентов реакции
Компонент | ∆H, кДж/моль |
Al | 0 |
Al2O3 | -1675,7 |
Mn | 0 |
MnO3 | -521,5 |
Уравнение реакции восстановления:
2Al+MnO3=Al2O3+Mn.
Тепловой эффект реакции:
-521,5 -1675,7 = -2197,2 кДж/моль.
Таким образом, реакция восстановления марганца алюминием является экзотермической, в ходе которой выделяется достаточно много тепловой энергии.
Исходные порошки алюминия ПА-4 имели среднюю дисперсность до 50 мкм; порошок MnO3 – 100 мкм. Смешивание порошков проводилось в течение 2 часов методом «пьяной бочки».
Расчет состава шихты проводился исходя из необходимого количества оксида марганца для получения 30 граммов сплава Al-Mn. По расчетам, для получения 30 граммов конечного продукта Al-Mn необходимо 23,76 грамма порошка MnO3 и 17,54 грамма Al, или 42,5 мас. % Al и 57,5 мас. % MnO3 соответственно. При этом в эксперименте дискретно менялось давление в реакторе: 3, 6 и 9 Па. В ходе реакции СВС первой серии наблюдался незначительный разброс реагирующего вещества горения из реакционной формы. В серию входило несколько экспериментов с последующим увеличением давления от 3 до 9 атмосфер, в среднем потери полезного продукта составляет 1±0,15 грамма. Оптимальное давление, при котором потери полезного продукта являются минимальными, составляет 6 атмосфер. При таком давлении также возрастает масса полезного продукта и число удавшихся экспериментов.
В таблице 2 представлены количественные характеристики начальных условий синтеза, исходной шихты и конечного продукта первой серии экспериментов.
Таблица 2 – Количественные характеристики процесса синтеза первой серии экспериментов
№ | Масса засыпки, гр | Масса продукта, гр | Н засыпки, мм | D пробирки, мм | P, Па с последующим возрастанием | Al, мас.% | MnO3, мас. % | ||
До | После | ||||||||
1 | 28,5 | 12,8 | 60 | 22 | 3 | 9 | 42,5 | 57,5 | |
2 | 26,4 | 14 | 60 | 22 | 6 | 12 | 42,5 | 57,5 | |
3 | 20,24 | 10 | 50 | 22 | 9 | 15 | 42,5 | 57,5 |
|
Однако в первых экспериментах с таким составом шихты сплав получился хрупким и твердым, с низкой вязкостью и пластичностью и высокой пористостью (рис. 1).
Рисунок 1 – Продукт синтеза первой серии экспериментов
Во второй серии экспериментов после анализа продуктов синтеза было изменено содержание алюминия и марганца из-за несоответствия образцов заданным прочностным характеристикам прототипа. После ряда проведенных экспериментов с варьированием состава шихты получен сплав, в котором сочетание механических свойств было оптимальным. Давление воздуха в реакторе не менялось и составляло 6 атмосфер.
Таблица 3 – Количественные характеристики процесса синтеза второй серии экспериментов
№ | Масса засыпки, гр | Масса продукта, гр | Н засыпки, мм | D пробирки, мм | P, Па с последующим возрастанием | Al, гр | MnO3, гр | |
До | После | |||||||
1 | 24,9 | 17,5 | 65 | 19 | 6 | 13 | 10 | 32,2 |
2 | 21,8 | 9,7 | 55 | 19 | 6 | 12 | +4,5 гр Al к предыдущей шихте | |
3 | 21,7 | 6,7 | 90 | 15 | 6 | 12 | 16 | 32,2 |
4 | 24 | 5,8 | 90 | 15 | 6 | 13 | 16 | 32,2 |
5 | 22 | 7,5 | 90 | 15 | 6 | 10 | 8,8 | 13 |
6 | 23 | 7,1 | 80 | 15 | 6 | 10 | 10 | 13 |
7 | 26,5 | 11,3 | 100 | 15 | 6 | 11 | 21 | 32,2 |
8 | 26,5 | 9 | 100 | 15 | 6 | 11 | 21 | 32,2 |
9 | 26,5 | 8,4 | 100 | 15 | 6 | 14 | 21 | 32,2 |
Высокая прочность и твердость при достаточной вязкости и низкой пористости получена для сплава с процентным соотношением исходных компонентов Al и MnO3 соответственно 40 и 60 мас. % (рис. 2).
Рисунок 2 – Синтезированный продукт второй серии
Результаты эксперимента
Полученные образцы были исследованы методом Дебая-Шеррера (метод порошка) на дифрактометре рентгеновском «ARL X'TRA» на медном излучении (Cu K) с шагом 0.050 и временем экспозиции 2 сек. Микроструктура образцов изучалась с применением металлографического анализа на микроскопе Axiovert-200 MAT с системой ProGres и с применением программы обработки изображений «ВидеоТест-Структура-5», а также на растровом электронном микроскопе EVO 50XVP (CarlZeiss) c системой INCA x-act (OxfordInstruments) с приставкой для микрорентгеноспектрального анализа.
На рисунке 3 изображена дифрактограмма синтезированных образцов на основе Al-MnO3, которые синтезировались в экспериментальной установке при давлении воздуха 3 и 6 атмосфер (образцы № 7 и № 9 соответственно). Результаты ее расшифровки показали присутствие интерметаллидов Al8Mn5, Al11Mn4 и Al6Mn. По данным РФА, основной фазой является Al8Mn5.
Рисунок 3 – Рентгенограммы конечных продуктов
Поверхность образца № 7 имеет многофазную структуру, состоящую из серых зерен основной фазы Al8Mn5 и интерметаллида Al6Mn. Предположительно формирование многофазной структуры в светлой области образца обусловлено высоким содержанием алюминия. Темные области имеют игольчатую структуру, что говорит о резком падении температуры после формирования необходимой фазы (рис. 4). Данные области имеют повышенное содержание марганца, что подтверждается данными микрорентгеноспектрального анализа. Можно предположить, что в данной области происходит формирование фаз Al8Mn5 и Al11Mn4.
Рисунок 4 – Микроструктура образцов, синтезированных при давлении 3 атмосферы
Поверхность образца № 9 также имеет многофазную структуру основной фазы Al8Mn5, но с четко выраженными границами зерен. Серые области имеют повышенное содержание алюминия, что также говорит о характерном формировании фазы Al6Mn. Темная область имеет игольчатую структуру и преобладает марганцем, что благоприятствует формированию фазы Al11Mn4 (рис. 5). Результаты подтверждаются данными рентгенофазового и микрорентгеноспектрального анализов.
Микротвердость серой области составила 624 HV, темной области – 672 HV, а игольчатой структуры – 934 HV, что говорит о высокой твердости полученных образцов.
Рисунок 5 – Микроструктура образцов, синтезированных при давлении 6 атмосфер
Элемент | Спектр 1 | Спектр 2 | Спектр 3 | Спектр 4 |
Атомный % | Атомный % | Атомный % | Атомный % | |
Al K | 43.53 | 44.63 | 40.65 | 39.55 |
Mn K | 56.47 | 55.37 | 59.35 | 60.45 |
Итоги | 100.00 | 100.00 | 100.00 | 100.00 |
Рисунок 6 – Микроструктура и спектрограммы химического состава (атом. %) для образцов, синтезированных при давлении 6 атмосфер
Элементный анализ на рисунке 6 показал, что в темных областях наблюдается содержание алюминия и высокая доля марганца. Можно предположить, что там сформировался интерметаллид Al11Mn4. Серые участки структуры материала характеризуются высокой долей алюминия, из чего можно предположить, что в зоне сформировалась многофазная структура из интерметаллидов Al6Mn и Al8Mn5.
Элемент | Спектр 1 | Спектр 2 | Спектр 3 |
Атомный % | Атомный % | Атомный % | |
Al K | 44.58 | 42.30 | 43.17 |
Mn K | 55.42 | 57.70 | 56.83 |
Итоги | 100.00 | 100.00 | 100.00 |
Рисунок 7 – Микроструктура спектрограммы химического состава (атом. %) для зоны 2 целевого продукта
Элементный анализ на рисунке 7 также показал, что в темных областях наблюдается наличие алюминия и высокое содержание марганца. Как и для образца 7, так и для образца 9 можно предположить, что в темных областях идет формирование интерметаллида Al11Mn4. В серых участках структуры материала содержание алюминия выше, чем в образце 7, из чего можно предположить, что в них сформировалась многофазная структура и интерметаллид Al6Mn.
Элементный анализ на рисунках 6-7 подтверждает данные рентгенофазового анализа.
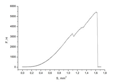
Для проверки и дальнейшего сравнения прочностных характеристик полученного сплава образцы были испытаны на сжатие. Испытание проводилось на машине 1794У-5 со скоростью 1 мм/мин. Размеры образца 10х10х15 мм. Во время всей проверки фиксировались данные подаваемой нагрузки на образец и перемещения образца вдоль оси, по которой подавалась нагрузка.
Рисунок 8 – Кривая сжатия синтезированного образца сплава
Из графика следует, что образец выдержал 5350 Н/мм2 и деформировался на 1,6 мм. Так как справочные данные сплава 3003 не предоставляют сведения на сжатие, поэтому сравнение будет проводиться с твердыми сплавами WC-Co и WC-TiC-Co, предел прочности на сжатие которых равен 4000…6000 Н/мм2. Это говорит о том, что синтезированный сплав является прямым конкурентом твердым сплавам. Измерения микротвердости синтезированного сплава составили 672 HV, а микротвердость сплава 3003, по справочным данным, равна 173 HV. Это свидетельствует о том, что синтезированный сплав является наиболее твердым.
Рисунок 9 – Образец после испытания на сжатие
Таблица 4 – Сравнение механических свойств сплавов
Наименование сплава | Предел прочности при растяжении | Предел прочности при сжатии | Удлинение А | Твердость | |
ГПа | Н/мм2 | % | HB | HV | |
Сплав 3003 | 0,2 | --- | 4-10 | 165 | 173 |
Синтезированный сплав | --- | 5350 | 2 | 564 | 672 |
Сплавы WC-Co и WC-TiC-Co | 710 | От 4000 до 6000 | 3 | 688 | --- |
Сплав АМц | 0,09-0,135 | --- | 12-20 | 50 | 53 |
Прочностные характеристики образца можно улучшить, если уменьшить пористость, но для этого необходимо увеличивать давление во время синтеза, что конструкция реактора не позволила сделать.
Выводы
- Обнаружено, что образцы алюмо-марганцевого сплава, полученные в реакторе типа замкнутой адиабатической бомбы давления, обладают более высокой прочностью при прохождении СВ-синтеза в режиме повышенного давления.
- Методом рентгенофазового анализа установлено, что в синтезированных образцах основной фазой является интерметаллид Al8Mn5, а также отмечается присутствие интерметаллидов с другой стехиометрией Al8Mn5, Al11Mn4 и Al6Mn.
- Высокие показатели прочности на сжатие и высокая твердость структурных составляющих служат подтверждением того, что синтезированный сплав является прямым конкурентом твердым сплавам.
About the authors
Marina P. Boronenko
Yugra State University
Author for correspondence.
Email: marinab7@yandex.ru
Associate Professor, Institute of Oil and Gas
Russian Federation, 16, Chehova street, Khanty-Mansiysk, 628012Irina V. Milyukova
Yugra State University
Email: imil@list.ru
Candidate of Physical and Mathematical Sciences, Associate Professor, Institute of Oil and Gas
Russian Federation, 16, Chehova street, Khanty-Mansiysk, 628012Sergei A. Cheklov
Yugra State University
Email: sergej-cheklov.c33@yandex.ru
Undergraduate of the Institute of Oil and Gas
Russian Federation, 16, Chehova street, Khanty-Mansiysk, 628012References
- Obtaining Radiation-resistant Material by SHS Method / M. Kozhanova, A. Kozhanov, I. Golubenko[et al.] // IOP Conference Series : Materials Science and Engineering. – 2019. – Vol. 521. – P. 012005.
- Correction factor in temperature measurements by optoelectronic systems / N. Bikberdina, R. Yunusov, M. Boronenko, P. Gulyaev // Journal of Physics : Conference Series. – 2017. – Vol. 917. – P. 052031.
- Borodina, K. Thermal analysis of reaction producing KXTiO2 / K. Borodina, S. Sorokina, N. Blinova. – doi: 10.1007/s10973-017-6840-0 // Journal of Thermal Analysis and Calorimetry. – 2018. – Vol. 131, № 1. – P. 561-566.
- Чеклов, С. А. Тепловизионный метод контроля фазообразования в процессе СВ-синтеза / С. А. Чеклов, Д. О. Боброва, П. Ю. Гуляев // Электронные средства и системы управле-ния. – 2017. – № 1/2. – С. 123-125.
- Control of dispersed-phase temperature in plasma flows by the spectral-brightness pyrometry method / A. V. Dolmatov, I. P. Gulyaev, P. Yu. Gulyaev, V. I. Jordan. – doi: 10.1088/1757-899X/110/1/012058 // IOP Conference Series : Materials Science and Engineering. – 2016. – Vol. 110, № 1. – P. 012058.
- Моделирование фрактальных структур упаковок порошковых СВС-материалов / И. В. Милюкова, А. Л. Трифонов, С. А. Ширяев, П. Ю. Гуляев. – Текст : непосредственный // Ползуновский альманах. – 2007. – № 3. – С. 39–41.
- Оценка времени фазообразования в системе горения NiAl методом визуализации тепло-вых полей / М. П. Бороненко, А. Е. Серегин, П. Ю. Гуляев, И. В. Милюкова. – Текст : непосредственный // Научная визуализация. – 2015. – Т. 7, № 5. – С. 102–108.
- Dolmatov, A. V. Investigation of structure formation in thin films by means of optical pyrome-try / A. V. Dolmatov, I. V. Milyukova, P. Y. Gulyaev. – doi: 10.1088/1742-6596/1281/1/012010 // Journal of Physics : Conference Series. – 2019. – Vol. 1281. – P. 012010.
- Григорьевская, А. А. Компьютерная визуализация радиационного теплопереноса в волне горения СВС / А. А. Григорьевская, П. Ю. Гуляев. – Текст: непосредственный // Ползуновский альманах. – 2019. – № 4. – С. 5–9.
- Cui, H. Z. Influence of micropores on structural instability of the combustion wave / H. Z. Cui, A. A. Grigoryevskaya, P. Yu. Gulyaev // Вестник Югорского государственного универси-тета. – 2019. – № 4 (55). – С. 33–40.
- Вычислительная методика расчета признаков спиновой неустойчивости СВС / А. А. Григорьевская, П. Ю. Гуляев, В. И. Иордан, И. А. Шмаков. – Текст : непосредственный // Высокопроизводительные вычислительные системы и технологии. – 2019. – Т. 3, № 2. – С. 82–91.
Supplementary files





















