Thermostimulation of titanium aluminide synthesis by high-calorie mixtures
- Authors: Milyukova I.V.1, Yunusov R.D.1
-
Affiliations:
- Ugra State University
- Issue: Vol 15, No 4 (2019)
- Pages: 17-23
- Section: New materials and technology
- Published: 11.01.2020
- URL: https://vestnikugrasu.org/byusu/article/view/18939
- DOI: https://doi.org/10.17816/byusu2019417-23
- ID: 18939
Cite item
Full Text
Abstract
A comparative microstructural and phase analysis of titanium aluminide samples obtained by SHS method in shells from a highly exothermic thermite mixture and an equimolar mixture of Nickel and aluminum is carried out. The energy of exothermic reactions of the shells allows heating the charge on the basis of titanium and aluminum and starting the SHS reaction in it. In the sinter sample in the Ni-Al shell, the reaction of titanium aluminide synthesis was not complete; the samples have a high-porous structure with small frame inclusions of intermetallides. In the synthesis of samples in the shell of the thermite mixture obtained alloy, optimal porosity and structure. The main phase in the samples obtained in different modes is titanium aluminide, also in both samples there are inclusions enriched in titanium (Ti3Al, Ti2Al phases), while the phase analysis did not reveal the presence of the initial components of the charge.
Full Text
Введение
Для рабочих температур 500–900°С наиболее перспективными являются материалы на основе алюминидов титана. Термодинамическая устойчивость, высокая термостойкость в сочетании с низкой плотностью создают хорошие перспективы для их применения в авиакосмической технике и энергетике.
Причина, по которой сложно получить сплав, обуславливается большой химической активностью компонентов, разницей температур плавления и испарения, необходимостью использования высокотемпературного вакуумного оборудования. Существующая технология сложна. Поэтому важной задачей является поиск доступных способов получения материалов на основе сплава Ti-Al [1-4]. Одним из наиболее перспективных методов считается самораспространяющийся высокотемпературный синтез (СВС), основанный на явлении автоволнового распространения реакции твердопламенного горения.
Целью работы является экспериментальное исследование термостимуляции низкоэкзотермической смеси в системе Ti-Al в процессе СВ-синтеза.
Методика исследования
Экспериментальная установка для технологии Core-Shell включала в себя две кварцевые пробирки толщиной 2 мм, помещенные в несущую конструкцию – металлический стакан с песком внутри. Во внешнюю трубку диаметром 35 мм вставлялась внутренняя диаметром 17 мм. После засыпки порошков внутренняя пробирка извлекалась.
Рисунок 1 – Экспериментальная оснастка для реализации технологии Core-Shell
Пространство между пробирками заполнялось экзотермичной смесью, объем внутренней пробирки заполняется шихтой Ti-Al с насыпной плотностью 2,1 г/см3. Для стабильного протекания реакции горения Ti-Al необходимо большое количество теплоты, которая выделяется при синтезе компонентов оболочки. В качестве термостимулирующей системы первоначально была выбрана система Ni-Al.
Для проведения синтеза Ti-Al методом Core-Shell в оболочке Ni-Al были использованы порошки Ti и Al, марка и дисперсность которых представлена в таблице 1.
Таблица 1 – Исходные порошки для основного сплава
Порошки | Марка | Дисперсность, мкм |
Ti | ПТМ | 150 |
Al | ПА-4 | 50 |
Соотношение компонентов шихты составляло 50 ат. % Ti и 50 ат. % Al, соотношение по массе термостимулирующей смеси и низкокалорийной шихты Ti-Al составляло 1:1.
Порошки в дальнейшем просушивались в течение 2 часов в вакуумной печи при температуре 100–150ºС и смешивались в смесителе типа «пьяной бочки» в течение 2 часов.
Энтальпия образования эквиатомного никелида алюминия достаточно высока, чтобы обеспечить прогрев основной шихты для инициирования теплового взрыва: Ni + Al = NiAl + Q, Q = 1356 кДж/кг.
В таблице 2 указаны данные по порошкам и весовой состав шихты на β-фазу.
Таблица 2 – Используемые порошки для оболочки Ni-Al
Порошки | Марка | Дисперсность, мкм | Весовой процент |
Ni | ПНК-УТ3 | до 15 | 68,5 % |
Al | ПА-4 | 50 | 31,5 % |
Перед синтезом оснастка загружалась в вакуумную печь и прогревалась до 150°С в течение 2 часов. Инициирование реакции проводилось поджигом диборида титана на поверхности Ni-Al нихромовой спиралью.
Альтернативной заменой смеси Ni-Al является термитная смесь с более высокой экзотермикой, чем энтальпия образования никелида алюминия, что показано в таблице 3.
Таблица 3 – Разница энтальпии реакции в различных оболочках
Оболочки | Тепловая энергия, кДж/кг |
NiAl | 1356 |
Fe2O3+Al | 1698 |
Для стабильного протекания реакции горения Ti-Al необходимо большое количество теплоты, выделяемое системой Fe2O3+Al в пропорции 80 масс. % Fe2O3 и 20 масс. % Al марка, дисперсность и весовой состав которых представлены в таблице 4.
Таблица 4 – Порошки для термитной оболочки
Порошки | Марка | Дисперсность | Весовой процент |
Fe2O3 |
| до 100 мкм | 80 % |
Al | ПА-4 | 50 мкм | 20 % |
Инициирование реакции проводилось нанесением диборида Ti на поверхность термитной смеси и дальнейшем поджиганием при помощи нихромовой спирали [4].
Результаты эксперимента
Для изучения микроструктуры полученных в результате синтеза образцов использовали металлографический микроскоп ZEISS Axiovert 200 MAT с системой обработки изображения «ВидеоТест Структура – 5» и микротвердомер DM-8. Рентгенофазовый анализ выполнен на дифрактометрах ARL X`TRA и ДР-01 «Радиан» в медном излучении Cu – Kα с шагом 0,05 и временем экспозиции 2 секунды. Для идентификации фаз использовались данные POWDER DIFFRACTION FILE (картотека ASTM).
На рисунке 2 показан образец сплава, изготовленного методом СВС в оболочке никелида алюминия, который имеет высокопористую структуру с небольшими каркасными включениями интерметаллидов.
Рисунок 2 – Микроструктура и дифрактограмма сплава Ti -Al, изготовленного методом СВС в оболочке Ni-Al
Основной фазой каркаса сплава является фаза TiAl, также присутствует фаза Ti2Al (рис. 2). Высокая пористость образцов свидетельствует о недостатке теплоты для прохождения реакции в режиме теплового взрыва, характерной для системы Ti-Al. Можно говорить лишь о локальных объемах, где прошел СВС, хотя рентгенофазовый анализ не выявил наличие исходных компонентов шихты в исследуемых образцах. Синтез в порошковой смеси никеля и алюминия оболочки прошел до конца, и можно констатировать высокую степень свариваемости двух разнородных сплавов.
В связи с недостаточностью теплоты от экзотермических реакций в системе Ni-Al было решено заменить внешний нагреватель на высокоэнтальпийную смесь Fe2O3-Al, тем более что подобные исследования уже проводились [1]. СВС в т. н. донорной системе, где адиабатическая температура горения превышает 3000 К [1], протекает быстро, с высокой теплоотдачей, но времени для переноса тепла и инициирования теплового взрыва в основной шихте может быть недостаточно. Однако если отношение масс термитной и низкоэкзотермичной смеси составляет 2:1, то теплопередача из оболочки в основную шихту приводит к инициированию реакции между титаном и алюминием и поддерживает ее до завершения процесса фазообразования [5; 6].
Основной фазой матрицы пористого сплава, полученного методом СВС, является фаза TiAl, также присутствует α2-фаза Ti3Al (рис. 3). Микроструктура образцов алюминида титана, полученного методом СВС в оболочке термитной смеси, отличается от структуры образцов, полученных в оболочке никелида алюминия, а также ранее на воздухе. Морфология интерметаллидных фаз в большей степени игольчатая, что может говорить о высокой скорости охлаждения полученного сплава и получения мартенситоподобной структуры.
Рисунок 3 – Микроструктура и дифрактограмма образца алюминида титана, полученного методом СВС в оболочке из термитной смеси
В работе была измерена скорость распространения волны горения СВ-синтеза с применением метода пирометрии высокого разрешения с обработкой данных в программе ImageJ [5; 7; 11]. Известно, что СВС сопровождается движущимися зонами реакции, которые имеют высокую температуру [9–10]. Зоны реакции отделяют непрореагировавшие вещества от продуктов реакции.
Определение скорости осуществлялось по видеофайлам, снятым на камеру с частотой кадров 240 fps (рис. 4, а). Область визирования охватывала высоту насыпки 3 см. Скорость реакции определяется построением графика и определением первой производной времени от координаты «центра масс». На рисунке 4 видно, что область прореагированной шихты отличается от непрореагированой яркостью пикселов. Объем прореагированного вещества увеличивается в объеме всей шихты. Для определения «центра масс» необходимо произвести маскирование, которое разделяет прореагированное вещество от непрореагированного. Для этого необходимо установить порог минимальной яркости. После получается черно-белое изображение (рис. 4, б), на котором белая область соответствует прогоревшей области.
Рисунок 4 – Данные для определения скорости фронта горения: а) видеофайлы процесса синтеза; б) бинарная маска
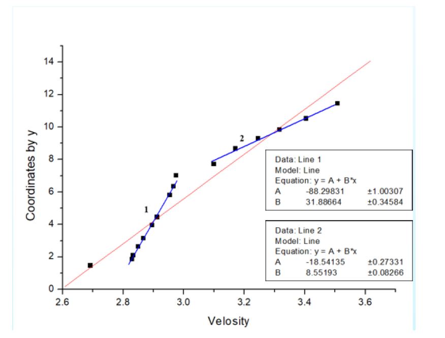
Далее следует построение графика зависимости координаты центра масс от времени в программе Origin и определение скорости фронта горения (рис. 5).
Рисунок 5 – График зависимости координаты центра масс от времени
Скорость составила в начале процесса СВС 31,88 мм/с, что соответствует распространению фронта горения в режиме теплового взрыва, и через 3 секунды она составила 8,55 мм/с (рис. 5), что характерно для автоволнового режима распространения реакции СВС с последующей стадией диффузионного процесса фазообразования [12].
Выводы
Методом стимуляции низкокалорийной системы Ti-Al получены образцы алюминида титана в оболочках высокоэнтальпийных систем Ni-Al и Fe2O3+Al. В оболочке из смеси никеля и алюминия не был достигнут термостимулирующий эффект в полной мере из-за высокой пористости полученного целевого продукта. Увеличение массовой доли смеси Ni-Al для увеличения энергии всей системы экономически нецелесообразно. Наилучший состав для получения пониженной пористости структуры конечного продукта достигается при отношении масс термитной и низкоэкзотермичной смеси 2:1, в результате чего формируется сплав с основной фазой TiAl и включениями α2 фазы Ti3Al.
About the authors
Irina V. Milyukova
Ugra State University
Author for correspondence.
Email: i_milykova@ugrasu.ru
Candidate of Physical and Mathematical Sciences, Associate Professor, Institute of Oil and Gas
Russian Federation, Khanty-MansiyskRuslan D. Yunusov
Ugra State University
Email: r_yunusov@ugrasu.ru
Master of Institute of Oil and Gas
Russian Federation, Khanty-MansiyskReferences
- Thermally Coupled SHS Reactions: Experimental Study / A. V. Linde, L. A. Studenikin, V. V. Grachev, A. G. Mcrzhanov // Proceedings of ihe XII International Symposium on Self-propagating High-Temperature Synthesis (21-24 October 2013, South Padre Island, Texas, USA). – 2013. – P. 116–117.
- Combustion synthesis in bi-laycred (Ti-AI)/(Ni-Al) system / A. E. Sytschcv, D. Vrcl, O. D. Boyarchenko [at al.] // Journal of Materials Processing Technology. – 2012. – Vol. 240. – P. 60–67.
- Initiation of thermal explosion in TiAI nanofoils / A. I. Ustinov, D. N. Kuzmenko, M. V. Kravchuk, Ya. D. Korol // International Journal of Self-Propagating High-Temperature Synthe-sis. – 2015. – Vol. 24. – Iss. 2. – P. 72–77.
- Баранов, H. C. Технология Core-Shell для получения биосовместимого материала на ос-нове никелида титана методом СВС / О. З.Антонов, H. C.Баранов, И. В.Милюкова. – Текст : непосредственный // Новые материалы и перспективные технологии : IV Меж-дисциплинарный научный форум с международным участием. – Москва, 2018. – С. 243–247.
- Оценка времени фазообразования в системе горения NiAl методом визуализации тепло-вых полей / М. П. Бороненко, А. Е. Серегин, П. Ю. Гуляев, И. В. Милюкова. – Текст : не-посредственный // Научная визуализация. – 2015. – Т. 7. – № 5. – С. 102–108.
- Thermal analysis of reaction producing KXTiO2 / K. Borodina, N. Blinova, M. Boronenko, P. Gulyaev. – doi: 10.1007/s10973-017-6840-0 // Journal of Thermal Analysis and Calorimetry. – 2018. – Vol. 131. – № 1. – P. 561–566.
- Гуляев, П. Ю. Байесовское восстановление цвета цифровых изображений / П. Ю. Гуляев, Ю. П. Гуляев, А. В. Долматов // Вестник СГУГиТ. – 1997. – № 2. – С. 114–115.
- Dolmatov, A. Chrono-topographic analysis of the fire focus dynamics in the SHS wave / A. Dolmatov, P. Gulyaev, I. Milyukova. – doi: 10.1088/1742-6596/1115/4/042024 // Journal of Physics: Conference Series. – 2018. – Vol. 1115. – № 4. – P. 042024.
- Dolmatov, A. V. Investigation of structure formation in thin films by means of optical pyrometry / A. V. Dolmatov, I. V. Milyukova, P. Y. Gulyaev. – doi: 10.1088/1742-6596/1281/1/012010 // Journal of Physics: Conference Series. – 2019. Vol. 1281. – P. 012010.
- Dolmatov, A. Thermal imaging complex with tracking function for joint research of microheterogeneous processes and macrokinetics of SHS phenomenon / A. Dolmatov, P. Gulyaev. – doi: 10.1088/1742-6596/1333/6/062006 // Journal of Physics: Conference Series. – 2019. – Vol. 1333. – P. 062006.
- Григорьевская А. А. Компьютерная визуализация радиационного теплопереноса в волне горения СВС / А. А. Григорьевская, П. Ю. Гуляев. – Текст : непосредственный // Ползу-новский альманах. – 2019. – № 4. – С. 5–9.
- Gulyaev, P. Instability of the Ni-Al combustion wave in the Zeldovich-Barenblatt parameters / P. Gulyaev, A. Dolmatov, V. Jordan. – doi: 10.1088/1742-6596/1353/1/012036 // Journal of Physics: Conference Series. – 2019. – Vol. 1353. – № 1. – P. 012036.
Supplementary files



