Precision measurement of the velocity of propagation shs wave by the method of chrono-topographical analysis
- Authors: Dolmatov A.V.1,2
-
Affiliations:
- Yugra State University
- Institute (NOTs) Technical Systems and Information Technologies
- Issue: Vol 14, No 4 (2018)
- Pages: 69-79
- Section: Articles
- Published: 15.12.2018
- URL: https://vestnikugrasu.org/byusu/article/view/10809
- DOI: https://doi.org/10.17816/byusu20180469-79
- ID: 10809
Cite item
Full Text
Abstract
The paper describes a method for detecting reaction cells with a given depth of response on thermal images. A technique has been developed for the formation of chronographic and topographic maps of the process from the cells that make up the combustion front. It is shown that the integral chronographic map allows us to identify the ergodicity of the SHS process and reduce by 1-2 orders of magnitude the size of the confidence interval in the estimated propagation velocity of the combustion front. A method is proposed for measuring the propagation velocity of the SHS process, which takes into account the deviation in the orientation of the regular grid of the matrix sensor of the chamber from the normal to the combustion front. The method combines the analysis of chronographic and topographic maps and integrates two approaches to determining the direction of the normal: the analysis of spatial data of thermal images; control of the delay time of appearance of the reaction front in different normal sections. The estimation of the error of the method was performed in the course of experimental studies of the SHS phenomenon in the Ni-Al system. It is shown that for high-resolution thermal imaging data (5.8 μm and 2 ms) with a sensor size of 1 MP, the error is 0.05 %, and using higher-dimensional sensors or a tracking thermal control, you can achieve a value of 0.0005 %.
Keywords
Full Text
Введение
Скорость распространения фронта реакции в стационарном режиме волнового горения является важнейшим показателем структурной макрокинетики процесса СВС [1–4]. На основе ее совместного измерения с температурой горения и шириной пламени можно оценить такие характеристики СВС, как эффективная энергия активации, толщина зон прогрева и реакции, средняя температуропроводность дискретной микрогетерогенной среды, скорость химической реакции и другие [5]. В указанном режиме высокотемпературный синтез в реакционных ячейках инициируется в разные моменты времени, но в среднем он протекает в них одинаково и приводит к образованию продуктов с однородным набором свойств. При этом уровень скорости, как статистический показатель процесса, может быть сопоставлен среднему значению какого-либо свойства синтезируемого продукта. Такую взаимосвязь можно использовать для экспресс-контроля качества продукта по измеряемой величине скорости. Для решения обозначенных задач важно определять скорость распространения волны СВС с высокой точностью.
Прототипом методов измерения скорости распространения волны СВС является подход фоторегистрограмм [1], который легко реализуется в измерительных комплексах на основе быстродействующих видеокамер [6, 7]. Однако на практике методика, основанная на измерениях в сечении нормальном к фронту волны СВС, имеет несколько ограничений.
Во-первых, наибольшую точность удается получить только на малых оптических увеличениях, когда пространственная неоднородность структуры тепловой волны реакции существенно не проявляется. Это ведет к необходимости использования в экспериментальных комплексах специализированных средств контроля. Например, в работах [6, 8] во время исследования особенностей микрогетерогенного горения применялись две камеры. Основная камера регистрировала процесс СВС с разрешением до 10 мкм, а дополнительная камера производила съемку всего образца и давала возможность измерения средней скорости распространения фронта горения.
Во-вторых, перед экспериментом невозможно установить камеру так, чтобы направление строк (или столбцов) ее фотоматрицы совпадало с нормалью к фронту волны синтеза. При регистрации процесса СВС в отдельном образце отклонение ориентации камеры является случайной величиной, которая влияет на измеряемое значение сдвига фронта реакции в единицу времени. Если регистрация процесса СВС осуществляется в единственном сечении (например, линейный фотодатчик или СТРИК-камера), то оценить величину отклонения ориентации невозможно в принципе. Только когда в качестве фотодатчика используется двухмерная матрица, и наблюдаемая протяженность фронта намного больше его пространственной неоднородности, методами цифровой обработки изображений удается по отдельному кадру оценить отклонение ориентации камеры и рассчитать величину сдвига фронта в направлении нормали. Однако с ростом пространственного разрешения видеосъемки неоднородность фронта СВС становится сравнима с размером области наблюдения. Это не позволяет по зарегистрированному изображению правильно определить направление нормали к фронту волны горения.
Например, в работе [6] производилась видеосъемка процесса СВС с высоким разрешением, когда диагональ области наблюдения составляла около 1 мм. При этом характерный размер очагов с повышенной температурой лежал в диапазоне 100–300 мкм. Стационарность процесса СВС в волновом режиме авторы использовали для обоснования методики усреднения микрошероховатостей фронта горения. Скорость распространения волны СВС рассчитывалась как отношение среднего размера очага к сумме средних значений времени существования очага и времени индукции в измерительном сечении нового очага. В описанной методике выбор направления измерительного сечения авторами не объясняется. По отдельным изображениям, приведенным в статье, невозможно определить направление нормали к фронту волны СВС. Это дает основания считать, что измерения размеров очагов содержали систематическую погрешность, вызванную неверным выбором направления измерительного сечения.
Анализ работ в предметной области приводит к следующим выводам. Для рассмотренного семейства методов относительная погрешность измерения скорости распространения волны горения лежит в диапазоне 1–6 %. Особенности феномена СВС в дискретных средах проявляются при высоком пространственном и временном разрешении съемки (1–10 мкм и 100–1000 мкс соответственно). По данным, полученным в таких условиях, сложно контролировать параметры макрокинетики процесса, и задача создания средств их точного контроля остается актуальной.
Цель данной работы заключалась в создании методики обработки тепловизионных данных высокого разрешения для измерения скорости распространения волны СВС с погрешностью менее 0.1 %.
Метод измерения
Базу создаваемого метода составили данные, зарегистрированные с помощью оригинального тепловизионного комплекса (рис. 1) [9]. Комплекс включает микроскоп МБС-10, полосовой светофильтр SL-725-40 ( = 725 nm), скоростную камеру ВидеоСпринт. В качестве датчика используется матрица типа КМОП размерностью 1280x1024 фотоэлемента. Полосовой светофильтр в оптическом тракте камеры превращает каждый фотоэлемент размером 12 ´ 12 мкм в отдельный канал яркостной пирометрии [10]. Микроскоп позволяет дискретно устанавливать пространственное разрешение на уровнях: 2.9, 5.8, 10.6, 17.7 мкм. Температурная калибровка комплекса выполнена с помощью оригинального автоматизированного стенда, использующего в качестве эталона образцовую лампу ТРУ-1100-2350 [11]. Полный диапазон измеряемых комплексом температур находится в пределах от 1000 до 3500 K при погрешности от 1.6 до 0.1 % соответственно.
Рисунок 1 – Экспериментальный комплекс (а) и продукт горения с пятном прицельного осветителя (б)
В стационарном режиме процесс СВС в разных реакционных ячейках должен развиваться в среднем одинаково, т. е. он должен проходить один и тот же набор состояний, описываемых уравнением состояния. Тогда две реакционные ячейки в волне горения будут находиться в одинаковом состоянии, если результаты измерения их параметров совпадут. В подобных задачах встает вопрос о наборе параметров, из которых может быть построено уравнение состояния. Однако при соблюдении некоторых условий определяющим фактором в уравнении состояния может быть лишь один показатель. На стадии воспламенения реакционной ячейки такой характеристикой выступает температура, уровень которой связан с глубиной реагирования контактирующих частиц горючего и окислителя. Следовательно, заданный уровень температуры может служить критерием для определения реакционных ячеек, имеющих одинаковое состояние химического превращения. Причем соответствующие реакционным ячейкам элементы тепловизионного изображения, уровень сигнала которых в первый раз достиг заданного значения, должны составлять фронт волны СВС с заданной глубиной реагирования. Определив координаты элементов фронта во всех кадрах тепловизионной съемки, можно построить хронографическую карту, которая отражает пространственно-временное распределение реакционных ячеек с одинаковой глубиной химического превращения во фронте волны горения.
Для формализации построения хронографической карты введем следующие обозначения. Пусть начало координат находится в левом верхнем углу матричного фотодатчика. Координата по оси Y отражает положение центра фотоэлементов в столбце датчика, а координата по оси X – в его строке. Обозначим единичным вектором направление наблюдения за положением фронта, а единичным вектором направление перемещения фронта. Будем считать, что направления оси Y и вектора совпадают (рис. 2).
Рисунок 2 – Координатная привязка тепловизионной съемки процесса СВС в системе Ni-Al с разрешением 5.8 мкм и 1 мс
Построим логический видеоряд по данным тепловизионной съемки. Для этого произведем бинаризацию тепловизионных изображений так, чтобы элемент с координатами (x, y) менял свое состояние во времени с «черного» на «белый» только один раз, когда температура соответствующей области объекта в первый раз превысит температурный порог (рис. 3).
Рисунок 3 – Принцип бинаризации тепловизионных данных
Фронтом реакции в фиксированный момент времени будем считать совокупность «белых» элементов с максимальной y-координатой в столбцах бинарного изображения. Результат визуализации положения фронта волны СВС с помощью хронографической карты представлен на рисунке 4.
Рисунок 4 – Интегральная хронографическая карта процесса СВС
Стационарность процесса СВС в режиме волнового горения позволяет выбрать температурный порог для идентификации фронта реакции достаточно произвольно, потому что его значение будет влиять на абсолютное положение ячеек с заданной глубиной реагирования, но не на среднюю скорость их перемещения по дискретной среде.
Хронографическая карта на рисунке 4 получена по тепловизионной съемке высокого разрешения: 5.8 мкм и 1 мс. Сечение этой карты плоскостью с дает ступенчатую зависимость координаты фронта горения от времени, подобную той, что представлена в работе [8]. Такой характер зависимости отражает поведение процесса СВС на микромасштабе. Линейная регрессия этой зависимости позволяет определить параметр макрокинетики процесса – скорость распространения волны горения. Количество таких сечений на хронографической карте равно числу столбцов фотоэлементов матричного датчика. Совместный анализ множества зависимостей, представленных в виде хронографической карты, позволяет выявить следующие свойства:
- Экспериментальные данные о положении фронта волны СВС очень хорошо моделируются плоскостью. По отношению к процессу СВС это означает, что равны оценки математического ожидания скорости фронта как по разным моментам времени, так и по различным точкам пространства. Из этого факта следует, что процесс СВС в волновом режиме можно считать не только стационарным, но и эргодичным. Таким образом, при определении статистических характеристик процесса СВС данные различных сечений хронографической карты можно объединить в общую выборку. Для современных скоростных камер это позволяет на 3-4 порядка увеличить объем выборки и на 1–2 порядка сократить доверительный интервал оцениваемых параметров макрокинетики процесса.
- С учетом эргодичности процесса можно утверждать, что угол между направлением столбцов фотоматрицы и нормалью к фронту волны горения (рис. 2) равен углу , изображенному рисунке 4. Если при регистрации процесса СВС камера сориентирована неправильно, то фронт горения появится в одном из углов тепловизионного изображения раньше, чем в другом. При постоянной скорости распространения фронта величина временной задержки будет линейным образом зависеть от расстояния между сечениями по оси X. Таким образом, направление нормали к фронту волны горения можно определять по средней временной задержке возникновения очагов в разных сечениях изображений тепловизионной съемки даже в случае больших увеличений оптической системы.
- Дифференциальная форма хронографической карты (рис. 5) позволяет идентифицировать в волне реакции отдельные очаги, изучать их термодинамику и взаимодействие. Совместный анализ данных тепловизионной съемки и дифференциальной хронографической карты позволяет построить топографическую карту процесса СВС, которая отображает области, где происходило развитие отдельных очагов горения за все время регистрации процесса (рис. 6). Методика измерения статистических параметров процесса СВС с помощью хронографической и топографической карт представлена в работе [10].
Рисунок 5 – Дифференциальная форма (а) и поперечное сечение (б) хронографической карты процесса СВС (Vt – скорость распространения очага вдоль фронта волны СВС; texp – время существования отдельного очага; tind – время индукции в измерительном сечении нового очага; Ln – размер очага в направлении нормали к фронту горения)
Рисунок 6 – Топографическая карта процесса СВС ( Ld – размер области депрессии горения между очагами)
Выявленные с помощью хронографических карт особенности процесса СВС устойчиво обнаруживались в исследованиях системы Ni-Al при вариации состава шихты, доли и дисперсности инертной добавки, плотности и начальной температуры (в целом около 500 образцов) [10, 12–18]. Поэтому в основу разрабатываемого метода определения скорости легла формула, отражающая зависимость положения фронта реакции от времени и от координаты плоского сечения, ортогонального оси X:
, (1)
гдe – положение фронта волны СВС на тепловизионной съемке в направлении ; a, b, c – коэффициенты, определяемые с помощью численных методов.
Скорость распространения фронта процесса СВ-синтеза в направлении равна:
, (2)
а скорость фронта в нормальном направлении:
, (3)
где – угол между векторами и . Учитывая, что , окончательная формула нормальной скорости фронта процесса СВС через коэффициенты линейной модели примет вид:
. (4)
В качестве оценки абсолютной погрешности для коэффициентов a и b принята ширина их доверительного интервала:
, (5)
где индексы min и max указывают соответственно на левую и правую границы доверительных интервалов. На основе (4) и (5) получены формулы для оценки погрешности измерения скорости фронта волны СВС:
, (6)
, (7)
где – оценка абсолютной методической погрешности, – оценка относительной методической погрешности в процентах.
Экспериментальная оценка погрешности метода
Невязка модели (1) с хронографической картой (интегральной) определяется двумя основными факторами: количеством измерительных сечений в изображениях тепловизионной съемки (m); средним количеством очагов горения в измерительных сечениях (k). В стационарном процессе волнового СВС сумма среднего размера очага горения в направлении нормали () и среднего расстояния между очагами () задает среднюю высоту ступени в графике координаты фронта горения от времени. Если размер тепловизионного изображения в направлении нормали к фронту равен , то
. (8)
Чем больше увеличение оптической системы, тем меньше k, больше доверительный интервал коэффициентов модели (1) и погрешность измерения скорости, вычисленная по формулам (6, 7).
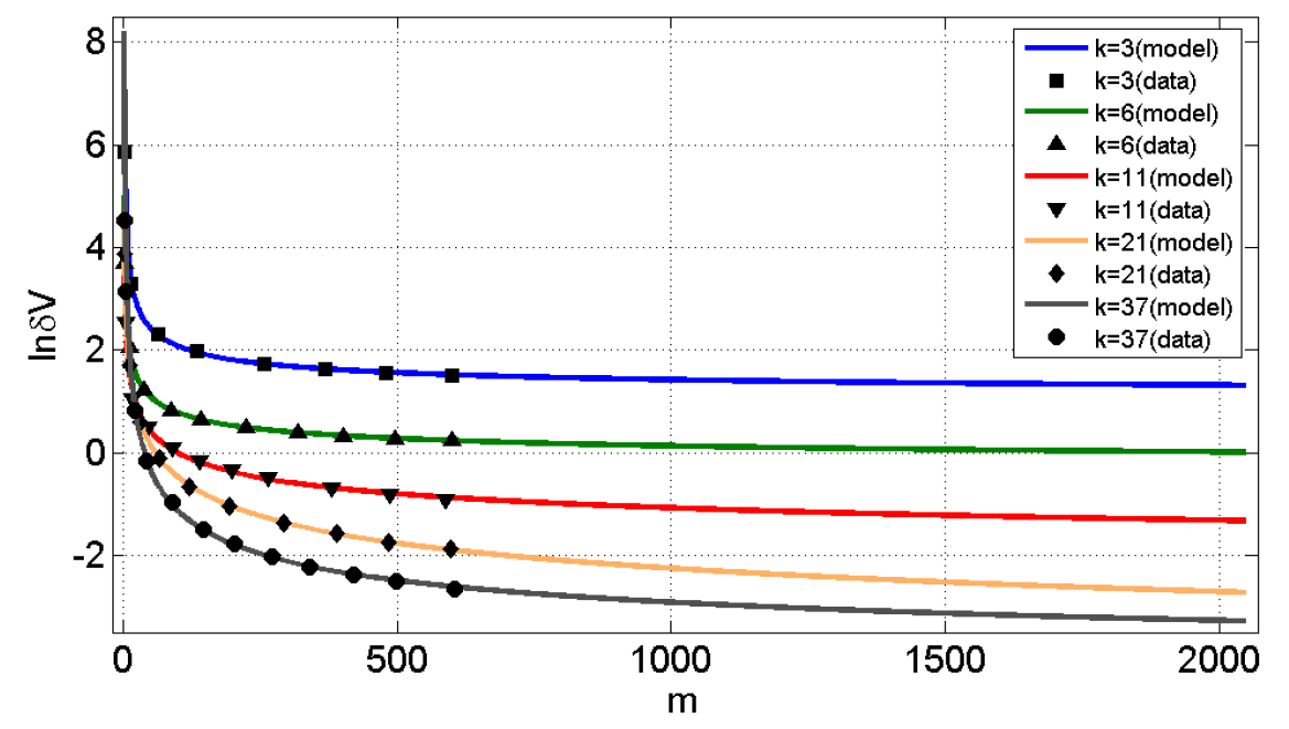
Для оценки погрешности разрабатываемого метода хроно-топографического анализа (ХТА) тепловизионных данных произведен следующий эксперимент. Выполнена тепловизионная съемка высокотемпературного синтеза Ni + Al + NiAl (15 % мас.) при разрешении 5.8 мкм и 2 мс с размером области визирования 7.42 х 5.94 мм (размер цифрового изображения 1280(X) х 1024(Y)). Отклонение нормали к фронту волны СВС от направления столбцов тепловизионного изображения (ось Y), оцененное методом ХТА, составило всего 0.06 градуса. Затем на компьютере случайным образом осуществлялось кадрирование ряда изображений тепловизионной съемки. Усечением изображений по координате X имитировалось сокращение измерительных сечений m, а усечением по координате Y имитировалось изменение увеличения оптической системы (при уменьшении размера кадра по Y растет средний относительный размер очага в измерительном сечении). Для каждого ряда усеченных тепловизионных изображений строилась хронографическая карта процесса СВС, численным методом выполнялся подбор коэффициентов модели (1) и определялись границы доверительных интервалов при уровне значимости 0.05. Величина k определялась с помощью усреднения количества очагов по всем линейным сечениям на топографической карте. В завершении каждого опыта, выполняемого при фиксированных m и k, по формулам (5, 7) рассчитывалась оценка относительной погрешности измерения скорости фронта горения (в процентах). Результаты опытов представлены метками различной формы на рисунке 7.
Рисунок 7 – Семейство зависимостей логарифма оценки относительной погрешности измерения скорости распространения волны СВС методом ХТА от количества измерительных сечений в изображениях тепловизионной съемки
Для прогнозирования относительной погрешности метода ХТА при использовании в тепловизионных камерах фотоматриц большей размерности выполнена аппроксимация экспериментальных данных на основе степенной функции
, (9)
где – коэффициенты модели. Полученное семейство зависимостей (рис. 7) может быть использовано для оценки погрешности измерения скорости распространения волны СВС следующим образом.
Например, для регистрации процесса применяется тепловизионная камера с размерностью фотоматрицы 256 × 256, а пространственное разрешение съемки составляет 25 мкм. Тогда размер визируемой области объекта составит 6.4 × 6.4 мм. Пусть направление нормали к фронту волны СВС совпадает с направлением столбцов фотоматрицы камеры, а средний размер очага горения в измерительном сечении – 173 мкм. Следовательно, , а . По графику на рисунке 7 определяем или . Если увеличение оптической системы тепловизионной камеры повысить в 6 раз, то пространственное разрешение станет равно 4.2 мкм. Тогда размер визируемой области объекта составит 1075 × 1075 мкм, . Оценка относительно погрешности составит 1.57% (). Если использовать матричный фотодатчик размерности 1280 × 1024, то оценка погрешности для двух рассмотренных случаев, соответственно, составит: 0.008 % (32 × 25.6 мм, ) и 0.088 % (5.38 × 4.3 мм, ). По всем графикам семейства (рис. 7) видно, что уже при 3–5 измерительных сечениях (m) относительная погрешность определения скорости распространения волны СВС превышает уровень 50 %.
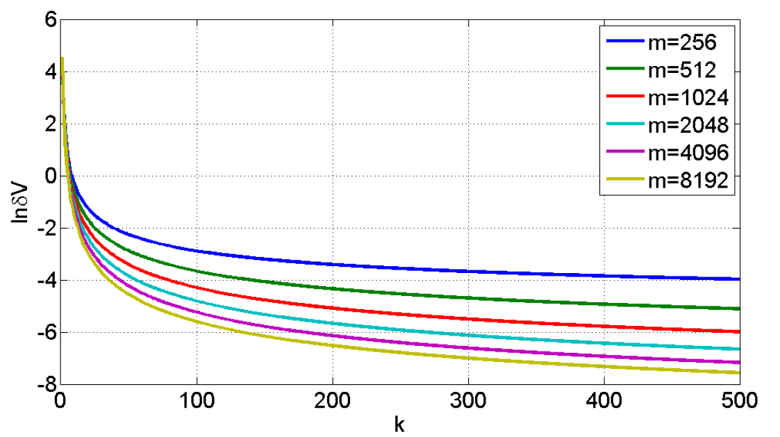
Представленное семейство зависимостей на рисунке 8 позволяет оценить погрешность измерения скорости распространения волны СВС при использовании следящего комплекса тепловизионного контроля [19] и подхода по синтезированию области съемки на основе метода ХТА. Принцип работы следящего комплекса заключается в том, что тепловизионная камера крепится на модуле линейных перемещений и, после съемки процесса СВС из неподвижного состояния, она смещается в новое положение перед фронтом горения, производя там повторную регистрацию. Таких зон контроля на экспериментальном образце может быть несколько. Пространственно-временная координация процесса регистрации в следящем измерительном комплексе позволяет объединить хронографические карты тепловизионной съемки из разных зон контроля. За счет этого удается существенно увеличить параметр k.
Рисунок 8 – Семейство зависимостей логарифма оценки относительной погрешности измерения скорости распространения волны СВС методом ХТА от количества очагов горения в измерительном сечении
Например, камера ВидеоСпринт, используемая в оригинальном тепловизионном комплексе, при размерности фотоматрицы 1280 × 1024 имеет максимальную скорость съемки 488 кадров в секунду (к/с). Допустим, для исследования закономерностей термодинамики отдельных очагов горения в волне СВС требуется быстродействие в 8 раз выше. В данной камере этого можно добиться, сократив апертуру опрашиваемых фотоэлементов по направлению распространения волны горения – 1280 × 128 элементов. Тогда частоту съемки можно увеличить до 3904 к/с. При разрешении 5.8 мкм размер зоны контроля составит 7.42 × 0.74 мм. Если средний размер очага горения в измерительном сечении равен 173 мкм, то при регистрации тепловизионных данных в единственной зоне контроля и оценка погрешности измерения скорости распространения волны СВС составит 2.3 %. Используя следящий тепловизионный комплекс, можно выполнить регистрацию данных в 10 зонах. Тогда величина будет равна 43, и верхняя оценка погрешности уменьшится до уровня 0.032 %.
Выводы
Дискретность процесса СВС ограничивает точность измерения скорости распространения волны реакции. Преодолеть данный барьер можно за счет существенного увеличения объема анализируемой информации. Метод ХТА этого добивается за счет способности обнаруживать такие соотношения между пространственным и временным разрешением средств контроля, при которых выявляется эргодичность процесса СВС. Проведение тепловизионных исследований современными средствами измерения в рамках эргодичной модели до 100 раз сокращает доверительный интервал статистических оценок, делает их чувствительными к малым вариациям параметров шихты и позволяет установить связь со свойствами материала-продукта.
Учет поправки на ориентацию камеры снижает неопределенность измерения параметров макрокинетики процесса СВС. Хронографические карты процесса СВС позволяют определять направление нормали к фронту волны горения, совмещая два способа: анализ пространственных данных тепловизионных изображений; контроль времени задержки появления фронта реакции в разных нормальных сечениях. Экспериментальная оценка погрешности измерения скорости распространения волны СВС методом ХТА для тепловизионных данных высокого разрешения при размерности датчика 1 МП составила 0.05 %. При использовании датчиков большей размерности или подхода следящего тепловизионного контроля можно достичь уровня погрешности %.
About the authors
Alexey V. Dolmatov
Yugra State University; Institute (NOTs) Technical Systems and Information Technologies
Author for correspondence.
Email: ADolmatov@bk.ru
Candidate of Engineering Sciences; Associate Professor
Russian Federation, 16, Chehova street, Khanty-Mansiysk, 628012References
- Мержанов, А. Г. Твердопламенное горение [Текст] / А. Г. Мержанов, А. С. Мукасьян. - Москва : ТОРУС ПРЕСС, 2007. - 336 с.
- Амосов, А. П. Порошковая технология самораспространяющегося высокотемпературного синтеза материалов [Текст] : учебное пособие / А. П. Амосов, И. П. Боровинская, А. Г. Мержанов. - Москва : Машиностроение-1, 2007. - 471 с.
- Самораспространяющийся высокотемпературный синтез: теория и практика [Текст] / под ред. А. Е. Сычева. - Черноголовка : Территория, 2001. - 432 с.
- Самораспространяющийся высокотемпературный синтез [Текст] : материалы и технологии / под ред. В. В. Евстигнеева. - Новосибирск : Наука, 2001. - 284 с.
- Рогачев, А. С. Горение для синтеза материалов: введение в структурную макрокинетику [Текст] / А. С. Рогачев, А. С. Мукасьян. - Москва : Физматлит, 2013. - 400 с.
- Microstructural correlations between reaction medium and combustion wave propagation in heterogeneous systems [Text] / A. S. Mukasyan [et al.] // Chemical Engineering Science. - 2004. - V.59. - Pp. 5099-5105.
- Саламатов, В. Г. Динамическая диагностика теплофизических характеристик самораспространяющегося высокотемпературного синтеза с использованием оптических методов [Текст] : дис. … канд. техн. наук / В. Г. Саламатов. - Томск, 2009. - 130 с.
- Микроструктурные аспекты безгазового горения механически активированных смесей. I. Высокоскоростная микровидеосъемка состава Ni + Al [Текст] / А. С. Рогачев, Н. А. Кочетов, В. В. Курбаткина [и др.] // Физика горения и взрыва. - 2006. - Т. 42. - № 4. - С. 61-70.
- Виртуальная тепловизионная система с микросекундным периодом регистрации [Текст] / А. В. Долматов [и др.] // Ползуновский альманах. - 2012. - № 2. - С. 31-36.
- Долматов, А. В. Средства анализа процесса СВС на основе хронографического и топографического представления тепловизионных данных [Текст] / А. В. Долматов, Г. М. Бересток // Вестник Югорского государственного университета. - 2017. - № 3 (46). - С. 64-73.
- Комплекс автоматизированной калибровки тепловизионной системы на базе MATLAB [Текст] / А. В. Долматов [и др.] // Вестник Югорского государственного университета. - 2012. - № 2 (25). - С. 59-63.
- Долматов, А. В. Оптические измерения и анализ тепловой микроструктуры волны СВС в системе Ni-Al [Текст] / А. В. Долматов, М. В. Пинчук, А. В. Сергейчев // Вестник Югорского государственного университета. - 2015. - № 2 (37). - С. 14-26.
- Фазообразование в волне горения СВС при разбавлении кварцем эквиатомной системы Ni-Al [Текст] / И. В. Милюкова [и др.] // Вестник Югорского государственного университета. - 2016. - № 2 (41). - С. 21-26.
- Дискретность и эргодичность процесса СВС в хронографическом представлении микротепловизионных данных [Текст] / А. В. Долматов [и др.] // Неизотермические явления и процессы: от теории теплового взрыва к структурной макрокинетике : тезисы докладов III международной конференции к 85-летию академика А. Г. Мержанова. - Черноголовка : ИСМАН, 2016. - С. 86-87.
- Limit of inert functional admixtures depending on the dispersion in the combustion synthesis of nickel aluminides [Text] / P. Gulyaev [et al.] // Journal of Physics: Conference Series. - 2018. - V. 1134. - 012018.
- Долматов, А. В. Температурно-пространственная динамика очагов горения в волне СВС [Текст] / А. В. Долматов, А. А. Алимпиев // Синтез и консолидация порошковых материалов : сборник тезисов Международной конференции (23-26 октября 2018 г., Черноголовка). - Москва : ТОРУС ПРЕСС, 2018. - 784 с.
- Boronenko, M. High-speed visualization of combustion synthesis discrete reaction waves: coherent heat microstructures [Text] / M. Boronenko, P. Gulyaev, A. Dolmatov // Journal of Physics: Conference Series. - 2018. - V. 1115. - 042021.
- Dolmatov, A. V. Chrono-topographic analysis of the fire focus dynamics in the SHS wave [Text] / A. V. Dolmatov, P. Yu. Gulyaev, I. V. Milyukova // Journal of Physics: Conference Series. - 2018. - V. 1115. - 042024.
- Долматов, А. В. Следящий комплекс тепловизионного контроля процесса СВС [Текст] / А. В. Долматов, А. С. Минеев // Высокопроизводительные вычислительные системы и технологии. - 2018. - № 2 (9).
Supplementary files











